Sh2de Опубліковано: 28 липня 2015 Поділитись Опубліковано: 28 липня 2015 У вас какая-то своя разработка микса? т.к. миксы свыше 15 не работают, да и не все катиониты свыше 20 Был на семинаре когда приезжал Сирков и компания (Экософт) и задавал им этот вопрос лично . Ответ - Всё будет работать как я описал ... Посилання на коментар Поділитися на інших сайтах More sharing options...
FinitaLaComedia Опубліковано: 28 липня 2015 Поділитись Опубліковано: 28 липня 2015 Был на семинаре когда приезжал Сирков и компания (Экософт) и задавал им этот вопрос лично . Ответ - Всё будет работать как я описал ... А какая вода будет на выходе интересовались? Посилання на коментар Поділитися на інших сайтах More sharing options...
Everpure Опубліковано: 29 липня 2015 Поділитись Опубліковано: 29 липня 2015 Был на семинаре когда приезжал Сирков и компания (Экософт) и задавал им этот вопрос лично . Ответ - Всё будет работать как я описал ... очень сомневаюсь в данном ответе, не стоит плодить откровенную глупость. Посилання на коментар Поділитися на інших сайтах More sharing options...
Sh2de Опубліковано: 29 липня 2015 Поділитись Опубліковано: 29 липня 2015 очень сомневаюсь в данном ответе, не стоит плодить откровенную глупость. У всех есть телефоны Экософта . Пообщайтесь с Стыценко Виталиком ( главный инженер и сервисник Экософта по Украине ) , посмотрим что он скажет . А до этих движений - субьективные мнение можно не писать . Посилання на коментар Поділитися на інших сайтах More sharing options...
FinitaLaComedia Опубліковано: 29 липня 2015 Поділитись Опубліковано: 29 липня 2015 У всех есть телефоны Экософта . Пообщайтесь с Стыценко Виталиком ( главный инженер и сервисник Экософта по Украине ) , посмотрим что он скажет . А до этих движений - субьективные мнение можно не писать . Это не субъективные мнения, это теоретические и практические знания) Посилання на коментар Поділитися на інших сайтах More sharing options...
Everpure Опубліковано: 29 липня 2015 Поділитись Опубліковано: 29 липня 2015 У всех есть телефоны Экософта . Пообщайтесь с Стыценко Виталиком ( главный инженер и сервисник Экософта по Украине ) , посмотрим что он скажет . А до этих движений - субьективные мнение можно не писать . Дословный ответ Стеценко:"Ну, Вы же понимаете, что нам НУЖНО продавать?" Сирков занимается оптовыми ПРОДАЖАМИ, к технологии он не имеет никакого отношения Посилання на коментар Поділитися на інших сайтах More sharing options...
AMAZONIA Опубліковано: 29 липня 2015 Поділитись Опубліковано: 29 липня 2015 У всех есть телефоны Экософта . Пообщайтесь с Стыценко Виталиком ( главный инженер и сервисник Экософта по Украине ) , посмотрим что он скажет . А до этих движений - субьективные мнение можно не писать . О как?! Вы б себе, при такомхим составе воды, будучи в трезвом уме, установили то оборудование, что пытаетесь продать? Посилання на коментар Поділитися на інших сайтах More sharing options...
Sh2de Опубліковано: 29 липня 2015 Поділитись Опубліковано: 29 липня 2015 О как?! Вы б себе, при такомхим составе воды, будучи в трезвом уме, установили то оборудование, что пытаетесь продать? Я не пытаюсь его продать ))))))))))))))))))))))))))))))))))))) У меня есть 2 клиента при таких показателях , которые пользуются таким оборудованием 8 лет досыпали прошлым летом по пару литром Микса ... Можете разводить шум и дальше Посилання на коментар Поділитися на інших сайтах More sharing options...
AMAZONIA Опубліковано: 29 липня 2015 Поділитись Опубліковано: 29 липня 2015 Я не пытаюсь его продать ))))))))))))))))))))))))))))))))))))) У меня есть 2 клиента при таких показателях , которые пользуются таким оборудованием 8 лет досыпали прошлым летом по пару литром Микса ... Можете разводить шум и дальше Круто, 2 клиена, 8 лет, пару литров! Спасибо, что разрешили мне "разводить шум", не знал, что мне для этого нужно ваше разрешение, но пока воздержусь. Посилання на коментар Поділитися на інших сайтах More sharing options...
ip-ua Опубліковано: 11 серпня 2015 Поділитись Опубліковано: 11 серпня 2015 Получил из КПИ анализ воды из скважины: рН - 7,3 Мутность - < 0,1 мг/л Жесткость - 6,98 Щелочность - 4,82 Железо общее - 0,08 мг/л Марганец - 0,015 мг/л Нитраты - 34,7 мг/л Окисляемость - 0,8 Сухой остаток - 391 мг/л Какой фильтр посоветуете ставить, что бы улучшить? Посилання на коментар Поділитися на інших сайтах More sharing options...
Everpure Опубліковано: 11 серпня 2015 Поділитись Опубліковано: 11 серпня 2015 Получил из КПИ анализ воды из скважины: рН - 7,3 Мутность - < 0,1 мг/л Жесткость - 6,98 Щелочность - 4,82 Железо общее - 0,08 мг/л Марганец - 0,015 мг/л Нитраты - 34,7 мг/л Окисляемость - 0,8 Сухой остаток - 391 мг/л Какой фильтр посоветуете ставить, что бы улучшить? для каких целей вода? Посилання на коментар Поділитися на інших сайтах More sharing options...
ip-ua Опубліковано: 11 серпня 2015 Поділитись Опубліковано: 11 серпня 2015 для каких целей вода?для всех кроме полива. Посилання на коментар Поділитися на інших сайтах More sharing options...
alexandr0123 Опубліковано: 11 серпня 2015 Поділитись Опубліковано: 11 серпня 2015 Получил из КПИ анализ воды из скважины: рН - 7,3 Мутность - < 0,1 мг/л Жесткость - 6,98 Щелочность - 4,82 Железо общее - 0,08 мг/л Марганец - 0,015 мг/л Нитраты - 34,7 мг/л Окисляемость - 0,8 Сухой остаток - 391 мг/л Какой фильтр посоветуете ставить, что бы улучшить? Комплексная водоподготовка) Уберет жесткость под 0, железо, марганец. Вода нормальная))) Все остальное задача для осмоса, хотя я бы не ставил его 1 Посилання на коментар Поділитися на інших сайтах More sharing options...
FinitaLaComedia Опубліковано: 11 серпня 2015 Поділитись Опубліковано: 11 серпня 2015 Получил из КПИ анализ воды из скважины: рН - 7,3 Мутность - < 0,1 мг/л Жесткость - 6,98 Щелочность - 4,82 Железо общее - 0,08 мг/л Марганец - 0,015 мг/л Нитраты - 34,7 мг/л Окисляемость - 0,8 Сухой остаток - 391 мг/л Какой фильтр посоветуете ставить, что бы улучшить? Умягчитель с байпасом Посилання на коментар Поділитися на інших сайтах More sharing options...
Everpure Опубліковано: 11 серпня 2015 Поділитись Опубліковано: 11 серпня 2015 для всех кроме полива. уже страшно представить))))) что с расходом воды? Посилання на коментар Поділитися на інших сайтах More sharing options...
ip-ua Опубліковано: 11 серпня 2015 Поділитись Опубліковано: 11 серпня 2015 что с расходом воды? Количество человек которые проживают в доме - 2 + гости иногда. Количество точек водоразбора - 3 санузла, кухня, стиралка, посудомойка. Посилання на коментар Поділитися на інших сайтах More sharing options...
vodinoy Опубліковано: 12 серпня 2015 Поділитись Опубліковано: 12 серпня 2015 Получил из КПИ анализ воды из скважины: рН - 7,3 Мутность - < 0,1 мг/л Жесткость - 6,98 Щелочность - 4,82 Железо общее - 0,08 мг/л Марганец - 0,015 мг/л Нитраты - 34,7 мг/л Окисляемость - 0,8 Сухой остаток - 391 мг/л Какой фильтр посоветуете ставить, что бы улучшить? Умягчитель вам в помощ. Посилання на коментар Поділитися на інших сайтах More sharing options...
alexandr0123 Опубліковано: 13 серпня 2015 Поділитись Опубліковано: 13 серпня 2015 Получил из КПИ анализ воды из скважины: рН - 7,3 Мутность - < 0,1 мг/л Жесткость - 6,98 Щелочность - 4,82 Железо общее - 0,08 мг/л Марганец - 0,015 мг/л Нитраты - 34,7 мг/л Окисляемость - 0,8 Сухой остаток - 391 мг/л Какой фильтр посоветуете ставить, что бы улучшить? все пишут, что нужно ставить умягчитель или аэрацию с мех. фильтрацией. Хочу обьяснить свое мнение по поводу комлексной очистке воды. Согласен с тем, что железа и марганца всего ничего. Согласен, что жесткость нужно убрать. Но представте себе, что железо и марганец будет прыгать и раз в какой то период Вы будете недовольны качеством воды. Вот почему я реккомендую ставить комплексную водоподготовку, чтобы если показатели изменяться вы не ощутили на себе жулузо и марганец. Посилання на коментар Поділитися на інших сайтах More sharing options...
FinitaLaComedia Опубліковано: 13 серпня 2015 Поділитись Опубліковано: 13 серпня 2015 все пишут, что нужно ставить умягчитель или аэрацию с мех. фильтрацией. Хочу обьяснить свое мнение по поводу комлексной очистке воды. Согласен с тем, что железа и марганца всего ничего. Согласен, что жесткость нужно убрать. Но представте себе, что железо и марганец будет прыгать и раз в какой то период Вы будете недовольны качеством воды. Вот почему я реккомендую ставить комплексную водоподготовку, чтобы если показатели изменяться вы не ощутили на себе жулузо и марганец. А что если наступит конец света?))) Посилання на коментар Поділитися на інших сайтах More sharing options...
ip-ua Опубліковано: 13 серпня 2015 Поділитись Опубліковано: 13 серпня 2015 А что если наступит конец света?))) Ну не все его ждут с таким нетерпением как Вы Жванецкий: "Глянешь иногда в окно, выедешь куда-нибудь на троллейбусе и, вобщем, всегда обратно.":o Посилання на коментар Поділитися на інших сайтах More sharing options...
FinitaLaComedia Опубліковано: 13 серпня 2015 Поділитись Опубліковано: 13 серпня 2015 Ну не все его ждут с таким нетерпением как Вы Жванецкий: "Глянешь иногда в окно, выедешь куда-нибудь на троллейбусе и, вобщем, всегда обратно.":o А вы не в теме) это менеджерам напаривающим адресовано) Посилання на коментар Поділитися на інших сайтах More sharing options...
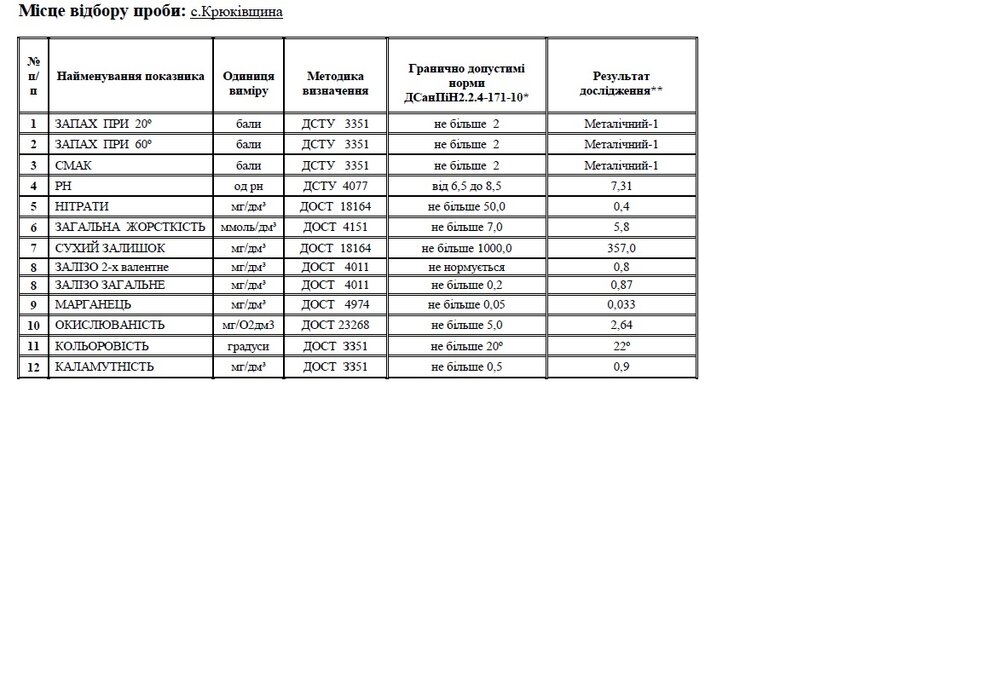
vvasyletskyy Опубліковано: 20 серпня 2015 Поділитись Опубліковано: 20 серпня 2015 прохання і мій прокоментувати. дякую. рекомендують "Фильтр для умягчения и удаления железа ECOSOFT FK 1252 CG" Посилання на коментар Поділитися на інших сайтах More sharing options...
Everpure Опубліковано: 20 серпня 2015 Поділитись Опубліковано: 20 серпня 2015 прохання і мій прокоментувати. дякую. рекомендують "Фильтр для умягчения и удаления железа ECOSOFT FK 1252 CG" глубина скважины и когда делали анализ? ну, и расходы, конечно. Посилання на коментар Поділитися на інших сайтах More sharing options...
vvasyletskyy Опубліковано: 20 серпня 2015 Поділитись Опубліковано: 20 серпня 2015 глубина скважины и когда делали анализ? ну, и расходы, конечно. 50 м. вчора. потрібен результат за найменш можливу суму. Посилання на коментар Поділитися на інших сайтах More sharing options...
Everpure Опубліковано: 20 серпня 2015 Поділитись Опубліковано: 20 серпня 2015 50 м. вчора. потрібен результат за найменш можливу суму. понимаю, человек сколько будет пользоваться? Посилання на коментар Поділитися на інших сайтах More sharing options...
Рекомендовані повідомлення
Створіть акаунт або увійдіть у нього для коментування
Ви маєте бути користувачем, щоб залишити коментар
Створити акаунт
Зареєструйтеся для отримання акаунта. Це просто!
Зареєструвати акаунтУвійти
Вже зареєстровані? Увійдіть тут.
Увійти зараз