Перейти до публікації
Пошук в
  • Додатково...
Шукати результати, які містять...
Шукати результати в...

Гідроізоляція чаші водойми

Nobel

Рекомендовані повідомлення

Обсудите это с galisoterm.

Его ПОКРЫТИЕ (не материал) имеет относительное удлинение на разрыв 200-300%. ;)

 

Вот, в случае обмазочной гидроизоляции думаю уместно и доходчиво описать в характеристиках максимально допустимую деформацию основания в виде толщины трещин (например 1, 2 или 3мм) так как в покрытии всегда фиксированное расстояние между точками крепления. А проценты используются в случае когда расстояние между креплениями материала плавающее..

Ну или galisoterm может как-то еще нам объяснит.

Посилання на коментар
Поділитися на інших сайтах

;3323866']Вот, в случае обмазочной гидроизоляции думаю уместно и доходчиво описать в характеристиках максимально допустимую деформацию основания в виде толщины трещин (например 1, 2 или 3мм) так как в покрытии всегда фиксированное расстояние между точками крепления. А проценты используются в случае когда расстояние между креплениями материала плавающее..

Ну или galisoterm может как-то еще нам объяснит.

 

Все таки знайшов час. Бачу без мене уже розвинулась дискусія. Ось матеріал, для визначення Відносного подовження при розриві:

 

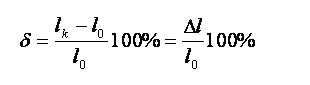
"Відносне подовження після розриву є відношення збільшення довжини зразка (після розриву) до його первинної довжини і обчислюється за формулою:

 

 

attachment.php?attachmentid=412765&stc=1&d=1423124605 (3.11)

 

 

де lk – довжина зразка після розриву в мм;

 

lo – початкова довжина зразка в мм.

 

Відносне подовження можна розрахувати за первинною діаграмою розтягу, визначивши абсолютне подовження Dl до моменту руйнування в точці k (рис. 3.5) і знаючи початкову розрахункову довжину lо, ми одержуємо величину δ. Однак при запису діаграми без застосування тензометрів фіксується подовження не тільки розрахункової частини, а всього зразка разом з головками. Цей факт, а також недостатня твердість більшості машин робить розрахунок δ за діаграмою розтягу менш точним, чим за результатами виміру кінцевої розрахункової довжини lк розірваного зразка.

 

Якщо руйнування відбувається в середині робочої частини зразка, то lк визначають як відстань між границями розрахункової довжини після щільного складання двох половин зруйнованого зразка. Коли ці половини не можна скласти щільно, без помітного зазору, варто визначати lк як суму відстаней від границь розрахункової довжини до краю зламу кожної частини розірваного зразка..."

Джерело:www.scritub.com/limba/ucraineana/25855.php

2030480668_.png.22c9c40d943a7e7cd3706ed8df8f6beb.png

Посилання на коментар
Поділитися на інших сайтах

Створіть акаунт або увійдіть у нього для коментування

Ви маєте бути користувачем, щоб залишити коментар

Створити акаунт

Зареєструйтеся для отримання акаунта. Це просто!

Зареєструвати акаунт

Увійти

Вже зареєстровані? Увійдіть тут.

Увійти зараз
×
×
  • Створити...