misnikk Опубліковано: 29 квітня 2015 Поділитись Опубліковано: 29 квітня 2015 Дорогие форумчани-строители!!!Пишу сразу я новичек на сайте, но посидев на форуме---затянуло!вот хочу понаглеть и попросить помощи!Пожалуйста помогите!Уже времени в обрез-планы фантазирую прям 9 мес---а родить ну никак не могучем больше сидишь, тем больше ничего не нравится, тем больше уже ничего в голову не лезет и глаз да мозг уже не воспринимает планировку в пространстве. Купили половину дома с двумя жилыми комнатами--без су, кухни.Уже подведены все коммуникации, ступор на планировке. Минус большой так это ж глухая стена с соседями=там ведь ничего не напланируешь и толком, а еще как видно по плану то и аппендикс так режет не только глаз, но и нормальные конфигурации комнат никак не получаются-пэ туда "залепила" только су. Есть возможность достроиться в ширину и в длину (возможные метражи на расширение и удлинение на планах уже видны-указала). Уточню молодая многодетная семья из 5ти человек--мы с мужем и 3 деток--разнополых! По финансовым возможностям только пока планируем хотя б достройку и новые стены по существующему фундаменту (хочется сэкономить на фундаменте)хотя ну очень мечтаю, второй этаж или хотя бы мансарду для детей, чтобы у каждого был свой уютный уголок--собственные квадратные метры. Тк имеются две комнаты, то в планах просто достроить кухню, верандочку,которая является как бы холлом и прихожей и еще одну жилую комнату-(хочется две комнаты---детская (дети 4 года и 1 годик) общая и взрослая(гостиная))пишу жилую тк хочу не для гостей, а именно жилую, чтоб по ширине и длине была полноценной!!!а выходит не очень то и желаемые комнаты. Мои хотелки: -су желательно раздельный (хотя и чертила и совместный); -очень хочу кухню не маленькую, чтобы была не только для приготовления пищи, а и для приема гостей. Чтобы в холодное время года (летом однозначно во дворе;))могли все разместиться за большим столом комфортно!НА некоторых планах есть кухня совмещенная с комнатой--как бы проходная--но считаю это очень не удобно...вариант чертился только ради выноса дверей в др помещения; -2 комнаты ну хоть приблизительно полноценные по квадратуре! -комнат-распашонок не люблюпэ хочу все с отдельными входами; -хотела еще одно помещение может даже и маленькое , но чтобы можно было развернуться там--и скрытое от глаз-использовать или как гардеробную, или как для сушки-глажки; -прихожая не должна быть маленькой--тк там планируется шкаф-купе БОЛЬШОЙ на всю нашу семейку. -планируем подвальчик (для консервации и картохи)!!Где б его разместить???Надумала только в холле, там и планирую лестницу на второй этаж-ЭХ когда-то же он будет-вот под лестницей и будет вход в подвал; -еще наметила выход с кухни на задний двор на террасу. МНОГОГО ЖЕЛАЮ? А теперь напомню о требованиях и нюансиках: -правая стена глухая с аппендиксом; -оставить старый фундамент хоть какой-либо по возможности; -подвод воды и канализация уже сделан -к глухой стене; -есть возможность расширения и удлинения(думаю все же удлинять не очень-то и правильно, хотя жить где-то ж нужно пэ на некоторых планах где-то удлинила домик по максимуму, где-то меньше) Может информации много написала и что-то не понятно---извините--пишу быстро--спрашивайте! Выставляю планчики-штриховка--это есть общая глухая стена с соседями, под той стеной и подвод воды. Окна , двери, подвал, лестница все пока приблизительно. Напишу, чтобы быстрее понять в чем отлчия 1 вариант----по максимуму удлинила домик , су раздельные; 2 вариант---такой же вариант удлинила по максимуму только туалет и ванную поменяла местами, чтоб в большей ванне сделать нишу или перегородку для гладильной доски, чтобы спрятать ее с поля зрения; 3 вариант---удлинила по минимуму домик и общиц санузел; 4 вариант---удлинила по максимуму домик есть два подварианта-совместный су и отдельное помещение дл ясушки-глажки или раздельные су--но как по мне глупо их делать такие огромные;и в этом вариантеминус как по мне совмещеная спальня-кухня или как называется получится кухня-гостиная; 5 вариант---удлинила по минимуму---совместные су и кухня опять-таки совместная да простите,если чего не так начертилапрофан во всем-черчу впервые-подкорректируйте плиззз-буду рада любой критике и благодарна советам!!!помогие выбрать более оптимальный вариант или посоветуйте что-то еще?может чего уже вообще не вижу! Где рациональней и что разместить???!!! -интересует также место для лестницы на будующее-хватит ли для нее там места в углу? Заранее СПАСИБО!!сущ.pdf1 вариант.pdf2 вариант.pdf3 вариант.pdf4 вариант.pdf5 вариант.pdf Посилання на коментар Поділитися на інших сайтах More sharing options...
karya Опубліковано: 29 квітня 2015 Поділитись Опубліковано: 29 квітня 2015 Могу разработать планировку. Портфолио внизу по ссылке в подписи. Если заинтересуетесь,обращайтесь;) Посилання на коментар Поділитися на інших сайтах More sharing options...
misnikk Опубліковано: 30 квітня 2015 Автор Поділитись Опубліковано: 30 квітня 2015 Форумчани, вижу никто не может мне помочьПРошу дайте хоть ссылочки на форуме есть ли планировки именно половин домов--буду сама разбираться!!Спасибо Добавлено через 5 минут не могу найти( Посилання на коментар Поділитися на інших сайтах More sharing options...
apxitektop Опубліковано: 30 квітня 2015 Поділитись Опубліковано: 30 квітня 2015 Форумчани, вижу никто не может мне помочьПРошу дайте хоть ссылочки на форуме есть ли планировки именно половин домов--буду сама разбираться!!Спасибо Добавлено через 5 минут не могу найти( Просто "проживите мысленно" там 1 день летом, осенью, зимой и весной. Нет "правильных" планировок, есть то, что удобно Вам и Вашей семье. ИМХО. 2 Посилання на коментар Поділитися на інших сайтах More sharing options...
Тюня Опубліковано: 30 квітня 2015 Поділитись Опубліковано: 30 квітня 2015 дайте хоть ссылочкиВряд ли ссылочки тут помогут Непонятно - где вход - двери не нарисованы. Варианты Ваши неплохие, конечно нуждаются в доработке. Непонятно - к чему такое внимание гладильной доске, есть более важные вопросы в планировке, все таки семья большая. Если большая спальня - семейная, то к ней желательно было бы 1 санузел полноценный (естественно со входом из спальни), а второй конечно с общим входом для детей и гостей. Таким образом все таки 2 санузла, просто (габариты 60*60), так этот зверь решает кучу вопросов. Сейчас всем рекламирую. Глажки меньше % на 70 (постели, полотенца и многие вещи гладить после нее не нужно) и т.о. вообще операций меньше. Все что нужно, можно впихнуть в Ваш санузел и машинки тоже и будет все ок, еще и большой шкаф-купе в такой спальне разместить. Думаю, что можно впихнуть еще кучу полезностей, если еще поиграться, но для этого нужно чертить - советы проверяются только на чертежах - лезет - не лезет и т.д. Могла бы Вам помочь (и пусть простят меня профессионалы) бесплатно. 1 Посилання на коментар Поділитися на інших сайтах More sharing options...
apxitektop.s Опубліковано: 4 травня 2015 Поділитись Опубліковано: 4 травня 2015 А теперь напомню о требованиях и нюансиках: -правая стена глухая с аппендиксом; -оставить старый фундамент хоть какой-либо по возможности; У вас глобальные хотелки, с глобальными советами, потому очень мало ответов, да и не все так просто, сначала нужно обдумать конструктив,ведь самое главное как пристроить, чтобы соседей не завалить и все выдержало грубо говоря... Нужна геология и обследование существующих фундаментов. Делал в прошлом году в Киеве подобный объект, минимизировали нагрузки на существующий фундамент - монолитным поясом и столбчатыми фундаментами в их случае, изначально я давал вариант убрав крышу , заменив на плоскую над существующей частью, но заказчик отказался и делали как он уже хотел. То есть по факту, к существущей части мы пристроили на первом этаже - гараж, кухню, санузлы, на втором уже две нормальные по габаритам комнаты с ванной по срединке, вышло по проекту относительно дешево и сердито, в окончательном рабочем проекте - еще дешевле и не так красочно =) Посилання на коментар Поділитися на інших сайтах More sharing options...
Тюня Опубліковано: 4 травня 2015 Поділитись Опубліковано: 4 травня 2015 Красиво у вас получилось - еще бы дали фото, что по итогу вышло Посилання на коментар Поділитися на інших сайтах More sharing options...
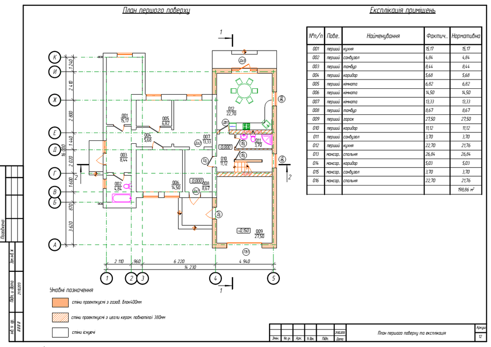
apxitektop.s Опубліковано: 4 травня 2015 Поділитись Опубліковано: 4 травня 2015 Красиво у вас получилось - еще бы дали фото, что по итогу вышло могу скинуть планировки, в итоге вышло с фасадами не все так красочно, заказчик не смог повлиять на родственников, поэтому крышу ту старую не стали переделывать, хотя заказчик сам был не против "красивости" , но решение в этом случае принималось как вы понимаете коллегиально, с остальными жителями той старой части дома =). Добавлю планы , в общем оранжевыми в плане идут стены пристройки, разгрузил я отчасти фундаменты старого строения как писал выше, но все равно это делать стремно, так как шурфов нет, шпунтовых стен нет и много чего нет, чтобы избежать давления на существующий фундамент Посилання на коментар Поділитися на інших сайтах More sharing options...
misnikk Опубліковано: 5 травня 2015 Автор Поділитись Опубліковано: 5 травня 2015 Спасибо!!!Впечатляет!!!тут и ширина хорошая 14 метров--можно фантазировать. У нас по фасаду максимум 6,55 м--вариантов вообще нет-конура-плачевные варианты.Пэ вот уже и подумываю над вторым этажом. А на счет обдумывания конструктива-это хорошо подмечено-это обдумывалось еще до планировочки. В нашем случае мы уже считаемся как отдельно стоящее здание только с глухой стеной. Соседи наши уже возвели полноценный второй этаж и мансарду на укрепленном первичном фундаменте и стенах. Мы вообще, чтобы ни рисковать завалом подумываем тоже укрепить фундамент и снести старые на глине стеныи строить новые из газобетона. Посилання на коментар Поділитися на інших сайтах More sharing options...
apxitektop.s Опубліковано: 5 травня 2015 Поділитись Опубліковано: 5 травня 2015 Мы вообще, чтобы ни рисковать завалом подумываем тоже укрепить фундамент и снести старые на глине стеныи строить новые из газобетона. зачастую проще снести старое и строить новое, как по затратам, так и по нервам, но такой вариант вам не подходит как вы писали изначально, да и укреплять существующий фундамент всегда рисковано, а уж тем паче, когда его нет почти, в общем я бы начал обследовать те фундаменты и смотрел бы геологию изначально 1 Посилання на коментар Поділитися на інших сайтах More sharing options...
Тюня Опубліковано: 5 травня 2015 Поділитись Опубліковано: 5 травня 2015 зачастую проще снести старое и строить новое а ничего, что это только полдома и наверное еще соседи есть... и их снесем Посилання на коментар Поділитися на інших сайтах More sharing options...
apxitektop.s Опубліковано: 5 травня 2015 Поділитись Опубліковано: 5 травня 2015 а ничего, что это только полдома и наверное еще соседи есть... и их снесем но такой вариант вам не подходит как вы писали изначально =) вырываете слова из контекста , не ? ) Посилання на коментар Поділитися на інших сайтах More sharing options...
Тюня Опубліковано: 5 травня 2015 Поділитись Опубліковано: 5 травня 2015 простите, просто повеселило Посилання на коментар Поділитися на інших сайтах More sharing options...
Рекомендовані повідомлення
Створіть акаунт або увійдіть у нього для коментування
Ви маєте бути користувачем, щоб залишити коментар
Створити акаунт
Зареєструйтеся для отримання акаунта. Це просто!
Зареєструвати акаунтУвійти
Вже зареєстровані? Увійдіть тут.
Увійти зараз