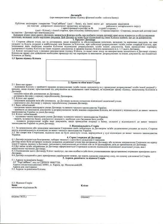
Игорь&Ира Опубліковано: 6 листопада 2015 Поділитись Опубліковано: 6 листопада 2015 Що це таке? Новий вид генерального доручення від Укрсиббанку? Посилання на коментар Поділитися на інших сайтах More sharing options...
kruchenik Опубліковано: 7 листопада 2015 Поділитись Опубліковано: 7 листопада 2015 я не юрист, но с банками по работе сталкиваюсь часто, как по мне ничего крамольного в этом договоре нет, речь о перестраховке. То есть, банк перестраховывается от "подделки подписи" клиента. Если вдруг ваш главбух или иное доверенное лицо попробует подписаться (неважно зачем) за вас, и сделает это некачественно - то банк не примет такой документ. Вот и все. Договор о том, что банк сверяет образец вашей подписи со всеми подписями, стоящими в документах от вас. У юрлиц есть понятие "карточки подписей" - заверяется вообще нотариально. Хоть и 21й век, а шариковая ручка и личная карлючка еще в фаворе. Удачи Вам! 1 Посилання на коментар Поділитися на інших сайтах More sharing options...
Игорь&Ира Опубліковано: 7 листопада 2015 Автор Поділитись Опубліковано: 7 листопада 2015 Договор о том, что банк сверяет образец вашей подписи со всеми подписями, стоящими в документах от вас. Дело в том, что банк предлагает этот договор клиентам-старожилам, образцы подписей которых он имеет с момента подписания договоров на обслуживание счетов, в т.ч. и по зарплатным проектам. Посилання на коментар Поділитися на інших сайтах More sharing options...
Игорь&Ира Опубліковано: 31 грудня 2015 Автор Поділитись Опубліковано: 31 грудня 2015 З Новим 2016 роком! Посилання на коментар Поділитися на інших сайтах More sharing options...
Рекомендовані повідомлення
Створіть акаунт або увійдіть у нього для коментування
Ви маєте бути користувачем, щоб залишити коментар
Створити акаунт
Зареєструйтеся для отримання акаунта. Це просто!
Зареєструвати акаунтУвійти
Вже зареєстровані? Увійдіть тут.
Увійти зараз