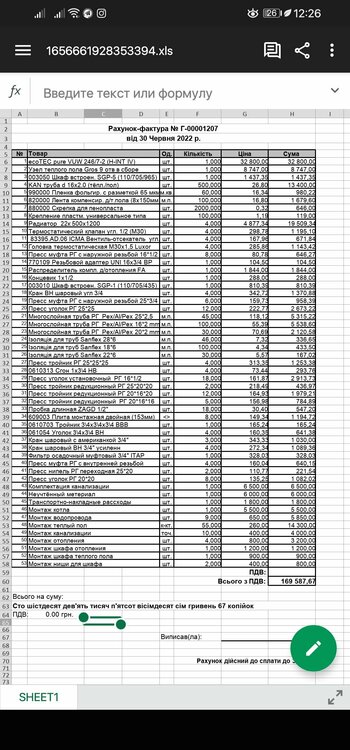
psy Опубліковано: 1 липня 2022 Поділитись Опубліковано: 1 липня 2022 (змінено) Ребята здравствуйте, делаю с нуля дом 110 кв., Первый этаж теплые полы, на втором этаже 3-и комнаты, по радиатору в каждую (в одной комнате 2 радиатора, в остальных 2-ух по одному). Посмотрите пожалуйста смету, что там насчитали и соответствует она действительности. Все вводные данные предоставлю, если надо! Плюс обычный электро бойлер. Змінено 1 липня 2022 користувачем psy Посилання на коментар Поділитися на інших сайтах More sharing options...
volomoto Опубліковано: 1 липня 2022 Поділитись Опубліковано: 1 липня 2022 Якщо три кімнати по радіатору в кожну, то звідки в кошторисі взявся четвертий? Посилання на коментар Поділитися на інших сайтах More sharing options...
psy Опубліковано: 1 липня 2022 Автор Поділитись Опубліковано: 1 липня 2022 5 минут назад, volomoto сказал: Якщо три кімнати по радіатору в кожну, то звідки в кошторисі взявся четвертий? На втором этаже в одной спальне 2 радиатора под окна. Посилання на коментар Поділитися на інших сайтах More sharing options...
Сергей 31 Опубліковано: 1 липня 2022 Поділитись Опубліковано: 1 липня 2022 170 тыс. грн. на 110м2 с котельной, нормальная цена. По шаблону такая работа не делается. Кто бы не делал эту работу он будет делать по своему, не в ущерб качеству. По этой причине и материалы будут разные. 1 Посилання на коментар Поділитися на інших сайтах More sharing options...
psy Опубліковано: 2 липня 2022 Автор Поділитись Опубліковано: 2 липня 2022 В 01.07.2022 в 18:06, Сергей 31 сказал: 170 тыс. грн. на 110м2 с котельной, нормальная цена. По шаблону такая работа не делается. Кто бы не делал эту работу он будет делать по своему, не в ущерб качеству. По этой причине и материалы будут разные. Спасибо, за ответ. Посилання на коментар Поділитися на інших сайтах More sharing options...
psy Опубліковано: 3 липня 2022 Автор Поділитись Опубліковано: 3 липня 2022 В 01.07.2022 в 18:06, Сергей 31 сказал: 170 тыс. грн. на 110м2 с котельной, нормальная цена. По шаблону такая работа не делается. Кто бы не делал эту работу он будет делать по своему, не в ущерб качеству. По этой причине и материалы будут разные. Прочитал Ваш комментарий в другой ветке про бойлер WEL 100 ME, этот будет луче чем ставить обычный электро, к котлу который в смете!? Посилання на коментар Поділитися на інших сайтах More sharing options...
Сергей 31 Опубліковано: 3 липня 2022 Поділитись Опубліковано: 3 липня 2022 Бойлер в доме это расчетная позиция и понятия (лучше, хуже) не применяются. Напишите сколько у Вас сан. узлов и сколько человек будет жить? Посилання на коментар Поділитися на інших сайтах More sharing options...
psy Опубліковано: 3 липня 2022 Автор Поділитись Опубліковано: 3 липня 2022 (змінено) 3 минуты назад, Сергей 31 сказал: Бойлер в доме это расчетная позиция и понятия (лучше, хуже) не применяются. Напишите сколько у Вас сан. узлов и сколько человек будет жить? Я, жена, ребёнок. Два сан узла, на первом - душ, умывальник, туалет. На втором - ванна, умывальник, туалет. Змінено 3 липня 2022 користувачем psy Посилання на коментар Поділитися на інших сайтах More sharing options...
Сергей 31 Опубліковано: 3 липня 2022 Поділитись Опубліковано: 3 липня 2022 Бойлер косвенного нагрева, от 120 литров. Посилання на коментар Поділитися на інших сайтах More sharing options...
psy Опубліковано: 3 липня 2022 Автор Поділитись Опубліковано: 3 липня 2022 Только что, Сергей 31 сказал: Бойлер косвенного нагрева, от 120 литров. Какому отдать предпочтение, подскажите пожалуйста. Посилання на коментар Поділитися на інших сайтах More sharing options...
Сергей 31 Опубліковано: 3 липня 2022 Поділитись Опубліковано: 3 липня 2022 Только что, psy сказал: Какому отдать предпочтение, подскажите пожалуйста. Без разницы, кто дешевле. Посилання на коментар Поділитися на інших сайтах More sharing options...
psy Опубліковано: 3 липня 2022 Автор Поділитись Опубліковано: 3 липня 2022 1 минуту назад, Сергей 31 сказал: Без разницы, кто дешевле. Под двухконтурный котёл, любой косвенник подойдёт? Посилання на коментар Поділитися на інших сайтах More sharing options...
Сергей 31 Опубліковано: 3 липня 2022 Поділитись Опубліковано: 3 липня 2022 2 часа назад, psy сказал: Под двухконтурный котёл, любой косвенник подойдёт? Нет. Под косвенник котел нужен одноконтурный. Посилання на коментар Поділитися на інших сайтах More sharing options...
Наблюдатель Опубліковано: 3 липня 2022 Поділитись Опубліковано: 3 липня 2022 2 часа назад, psy сказал: этот будет луче чем ставить обычный электро, к котлу который в смете!? Лучше, особенно если с ТЭНом, даже классической реализацыи ГВС посредством БКН, даже с ТЭНом. Как минимум у одного из производителей видел котёл с такой технологией реализацыи ГВС. Если есть финансовая возможность реализовать такую технологию ГВС то лучше реализовать дискретно. 2 Посилання на коментар Поділитися на інших сайтах More sharing options...
psy Опубліковано: 3 липня 2022 Автор Поділитись Опубліковано: 3 липня 2022 1 час назад, Сергей 31 сказал: Нет. Под косвенник котел нужен одноконтурный. Но WEL 150 ME в описании написано что рассчитан под двухконтурный!? Посилання на коментар Поділитися на інших сайтах More sharing options...
psy Опубліковано: 3 липня 2022 Автор Поділитись Опубліковано: 3 липня 2022 47 минут назад, Наблюдатель сказал: Лучше, особенно если с ТЭНом, даже классической реализацыи ГВС посредством БКН, даже с ТЭНом. Как минимум у одного из производителей видел котёл с такой технологией реализацыи ГВС. Если есть финансовая возможность реализовать такую технологию ГВС то лучше реализовать дискретно. Подскажите пожалуйста что за бойлер!? Посилання на коментар Поділитися на інших сайтах More sharing options...
psy Опубліковано: 3 липня 2022 Автор Поділитись Опубліковано: 3 липня 2022 У меня еще один вопрос, в смете указано 500м трубы для теплого пола, теплый пол только на первом этаже (55кв), это не многовато!? Посилання на коментар Поділитися на інших сайтах More sharing options...
Сергей 31 Опубліковано: 3 липня 2022 Поділитись Опубліковано: 3 липня 2022 3 минуты назад, psy сказал: Но WEL 150 ME в описании написано что рассчитан под двухконтурный!? Да все верно, если уже есть двухконтурный котел и деваться некуда, + к этому бойлеру нужен прибомбас с насосом и другими пасочками (фото ниже). Если есть выбор берите одноконтурный котел с напольным бойлером 150 л. Такой БКН протерм стоит около 19 тыс.грн., а одноконтурнике уже все есть для бойрера, кроме датчика бойлера. Посилання на коментар Поділитися на інших сайтах More sharing options...
psy Опубліковано: 3 липня 2022 Автор Поділитись Опубліковано: 3 липня 2022 1 минуту назад, Сергей 31 сказал: Да все верно, если уже есть двухконтурный котел и деваться некуда, + к этому бойлеру нужен прибомбас с насосом и другими пасочками (фото ниже). Если есть выбор берите одноконтурный котел с напольным бойлером 150 л. Такой БКН протерм стоит около 19 тыс.грн., а одноконтурнике уже все есть для бойрера, кроме датчика бойлера. Так мы специально берём двухконтурный (конденсационный) что бы один контур шёл на отопление с выставленной температурной в +-45 на теплый пол и радиаторы. Или вообще все не то!? Посилання на коментар Поділитися на інших сайтах More sharing options...
Сергей 31 Опубліковано: 3 липня 2022 Поділитись Опубліковано: 3 липня 2022 Только что, psy сказал: Так мы специально берём двухконтурный (конденсационный) При таком разборе воды я бы не брал двухконтурный. Посилання на коментар Поділитися на інших сайтах More sharing options...
Сергей 31 Опубліковано: 3 липня 2022 Поділитись Опубліковано: 3 липня 2022 Только что, psy сказал: +-45 на теплый пол и радиаторы. Вам подобрали размер радиаторов под температурный режим +45? У Вас в доме везде паркет и ламинат, по этому нужны радиаторы? Посилання на коментар Поділитися на інших сайтах More sharing options...
psy Опубліковано: 3 липня 2022 Автор Поділитись Опубліковано: 3 липня 2022 (змінено) 37 минут назад, Сергей 31 сказал: Вам подобрали размер радиаторов под температурный режим +45? У Вас в доме везде паркет и ламинат, по этому нужны радиаторы? Первый этаж только тёплый пол, на втором ламинат в комнатах и под окна радиаторы. Да радиаторы больше в размере будут. Змінено 3 липня 2022 користувачем psy Посилання на коментар Поділитися на інших сайтах More sharing options...
psy Опубліковано: 4 липня 2022 Автор Поділитись Опубліковано: 4 липня 2022 (змінено) Начитавшись множество форумов и перелопатив много информации, пришел к тому что одноконтурный конденсационный котел и БКС это самый оптимальный вариант как не крути. Посоветуйте какой взять котел (конденсационный) и БКС - цена качество!? котлы эти присмотрел NOVA FLORIDA DELFIS CONDENSING KRB 24, Vaillant ecoTEC plus VU INT 246/5-5, BAXI LUNA Duo-tec 1.24 И еще у меня один вопрос, получится ли в одноконтурном выставить температуру на отоление 45 градусов+-, а на ГВС другую температуру при эксплуатации одноконтурный конденсационный котел и БКС!? Змінено 4 липня 2022 користувачем psy Посилання на коментар Поділитися на інших сайтах More sharing options...
yoojin Опубліковано: 4 липня 2022 Поділитись Опубліковано: 4 липня 2022 (змінено) 53 минуты назад, psy сказал: Начитавшись множество форумов и перелопатив много информации, пришел к тому что одноконтурный конденсационный котел и БКС это самый оптимальный вариант как не крути. Посоветуйте какой взять котел (конденсационный) и БКС - цена качество!? котёл этот присмотрел NOVA FLORIDA DELFIS CONDENSING KRB 24 И еще у меня один вопрос, получится ли в одноконтурном выставить температуру на отоление 45 градусов+-, а на ГВС другую температуру при эксплуатации одноконтурный конденсационный котел и БКС!? Да, одноконтурный конденс и БКН это оптимальный вариант. По котлам: смотрите по сервису в вашем регионе или монтажник должен подсказать. БКН комбинированный (с ТЭНом): литров на 150, есть напольные и навесные варианты. Ищите подходящий по литражу вариант, скорее всего, придете к Drazice ) 45 будет выставлено на отопление, а нагрев БКН будет максимально горячим теплоносителем до набора выбранной вами температуры в бойлере. Котел при этом немного перестает быть конденсационным ) Змінено 4 липня 2022 користувачем yoojin 1 Посилання на коментар Поділитися на інших сайтах More sharing options...
psy Опубліковано: 4 липня 2022 Автор Поділитись Опубліковано: 4 липня 2022 (змінено) 13 минут назад, yoojin сказал: Да, одноконтурный конденс и БКН это оптимальный вариант. По котлам: смотрите по сервису в вашем регионе или монтажник должен подсказать. БКН комбинированный (с ТЭНом): литров на 150, есть напольные и навесные варианты. Ищите подходящий по литражу вариант, скорее всего, придете к Drazice ) 45 будет выставлено на отопление, а нагрев БКН будет максимально горячим теплоносителем до набора выбранной вами температуры в бойлере. Котел при этом немного перестает быть конденсационным ) Спасибо Вам за ответ! А как правильно сделать что бы он оставался конденсационным?) Змінено 4 липня 2022 користувачем psy Посилання на коментар Поділитися на інших сайтах More sharing options...
Рекомендовані повідомлення
Створіть акаунт або увійдіть у нього для коментування
Ви маєте бути користувачем, щоб залишити коментар
Створити акаунт
Зареєструйтеся для отримання акаунта. Це просто!
Зареєструвати акаунтУвійти
Вже зареєстровані? Увійдіть тут.
Увійти зараз