Сергей НСТ Опубліковано: 13 жовтня 2018 Поділитись Опубліковано: 13 жовтня 2018 Вы же вроде говорили, что класс горючести - единственное преимущество ваты. А теперь за цену говорите. Отрицание Гнев Торг Депрессия Принятие Значит мы с вами уже на этапе торга. :D Вы, себе льстите. Опуститесь слегка на землю. Показатель шумопоглощения, как и теплопроводности является коэффициентом. Соответственно критерием лучше/хуже при одинаковых параметрах будут расходы необходимые для их получения. Посилання на коментар Поділитися на інших сайтах More sharing options...
#roofinspector Опубліковано: 13 жовтня 2018 Поділитись Опубліковано: 13 жовтня 2018 Расшифровка по спектру частот выглядит так. Посилання на коментар Поділитися на інших сайтах More sharing options...
Сергей НСТ Опубліковано: 13 жовтня 2018 Поділитись Опубліковано: 13 жовтня 2018 В толщине от 100 мм. обладают среднеарифметическим коэф. 1.00 Открытое окно обладает ровно таким же коэф. 1 :D Посилання на коментар Поділитися на інших сайтах More sharing options...
#roofinspector Опубліковано: 13 жовтня 2018 Поділитись Опубліковано: 13 жовтня 2018 Открытое окно обладает ровно таким же коэф. 1 Было приятно иметь с вами конструктивный диалог. Желаю успеха в теплоизоляции мансард открытыми окнами 1 Посилання на коментар Поділитися на інших сайтах More sharing options...
Дод Опубліковано: 13 жовтня 2018 Поділитись Опубліковано: 13 жовтня 2018 Ну да, и дом можно же самому построить, и таки строят. Речь не о том ведь, не? Независимые от кого? :D Не искал даже, зачем? Европа и штаты верят, я тоже :D Ну не торгую я материалами, сколько еще раз написать? Пром, ОЛХ, гугл в конце-то концов ) Запрошу завтра у поставщиков сертификаты и протоколы, если есть. давайте все таки оперировать доступными данными, а не домыслами. Мы, а шо такоэ? :D С одного комплекта компонентов стоимостью +/- 60К грн. выход 40 кубов. Что Вас смущает? Можем на спор проверить, выбирайте объект ) Обо всех. Заинтересовала технология утепления ППУ для плоской кровли площадью 80 м.кв.(8х10м). Интересный вариант утепления промежутка между стропильной частью с обрешеткой и потолка второго этажа с межэтажными балками перекрятия второго этажа. Растояние между стропилами и потолочными балками перекрытия не более 500 мм и сводится на толщину мауэрлата 150мм в конце крыши. вот такое пространство задуть утеплителем с одной стороны, открыв местно отверстия сбоку крыши с одной стороны. Реально ли это? Крыша не утеплена вообще, постройка 86 года. Шифер. 1 Посилання на коментар Поділитися на інших сайтах More sharing options...
Сергей НСТ Опубліковано: 13 жовтня 2018 Поділитись Опубліковано: 13 жовтня 2018 Реально ли это? Думаю да. Нужно приехать, все увидеть. 1 Посилання на коментар Поділитися на інших сайтах More sharing options...
Сергей НСТ Опубліковано: 13 жовтня 2018 Поділитись Опубліковано: 13 жовтня 2018 Было приятно иметь с вами конструктивный диалог... Думаете я для смеха написал про окно? Поинтересуйтесь, у него действительно К воздушного шумопоглощения = 1 ;) У материалов есть показатели не только поглощения, но и отражения и прошедшего звука. Я согласен, что на бумаге у ваты все выглядит очень красиво. Но показатель для ваты в 1 абсолютно не значит, что за такой конструкцией ничего не слышно ) Добиться полной шумоизоляции на практике в гражданском строительстве невозможно, да и задач таких никто перед собой не ставит, достаточно снизить шумовую нагрузку до не раздражающего уровня. Лабораторные значения для той же ваты, рассматривать в вибронеразвязанных конструкциях, это такой же абсурд, как и её негорючесть внутри сгораемой деревянной конструкции, с замечательно горящими пленками и мембранами... Реальная польза от НГ ваты существует в утеплении фасадов многоквартирных домов и в офисных перегородках, где она действительно препятствует распространению открытого огня. Ровно так же и звукоизоляционные свойства легкой ваты в листах и рулонах самой по себе близки к звукоизоляционным свойствам листа бумаги. Практические схемы и методы её применения сильно отличаются от лабораторных условий. Мне приходилось выполнять звукоизолирующие конструкции по схемам разработанным специалистами этой солидной в области звукоизоляции компании, почитайте у них много интересного www.acoustic.ua/production.html?g=4. Акустические ваты высокой плотности действительно работают, но тоже только в составе комплекса мероприятий, а не сами по себе. При этом индекс звукоизоляции у ППУ в некоторых случаях равен или выше чем у ваты, а коэф. воздушного шумопоглощения примерно такой же как у ваты, отличия ничтожны, а если учесть бесшовность монтажа, то на практике будут выше. Так что все эти декларируемые производителями цифры, не более чем маркетинг и лапша на уши доверчивым потребителям. Поверьте, коллега, я не просто топлю за интересный мне продукт, я только за прозрачность и взвешенность решений и продукт этот выбрал исключительно из-за его преимуществ. Посилання на коментар Поділитися на інших сайтах More sharing options...
#roofinspector Опубліковано: 13 жовтня 2018 Поділитись Опубліковано: 13 жовтня 2018 Я согласен, что на бумаге у ваты все выглядит очень красиво Возможно. Только проблема в том, что у вас на руках нет аналогичной бумажки о свойствах ППУ. Как ни крути, ваши заявления, пока что, более голословны Добавлено через 1 минуту При этом индекс звукоизоляции у ППУ в некоторых случаях равен или выше чем у ваты, а коэф. воздушного шумопоглощения примерно такой же как у ваты, отличия ничтожны Какие ваши доказательства? Добавлено через 1 минуту Так что все эти декларируемые производителями цифры, не более чем маркетинг и лапша на уши доверчивым потребителям Это вы сейчас о всех стройматериалах или только о вате? Продавцы ППУ кристально чисты в этом отношении? Добавлено через 50 секунд я только за прозрачность и взвешенность решений пока что выходит не очень. По крайней мере в разрезе звукоизоляционных свойств Посилання на коментар Поділитися на інших сайтах More sharing options...
Сергей НСТ Опубліковано: 13 жовтня 2018 Поділитись Опубліковано: 13 жовтня 2018 Какие ваши доказательства? Добавлено через 1 минуту Это вы сейчас о всех стройматериалах или только о вате? Продавцы ППУ кристально чисты в этом отношении? 1. Поинтересуйтесь у канадской ICYNENE, наверняка смогут подтвердить все документально, я не запрашивал. 2. Обо всех конечно ) Посилання на коментар Поділитися на інших сайтах More sharing options...
#roofinspector Опубліковано: 13 жовтня 2018 Поділитись Опубліковано: 13 жовтня 2018 я не запрашивал. и продукт этот выбрал исключительно из-за его преимуществ. Возможно поспешно. А может и нет. Этого даже вы ещё не знаете Посилання на коментар Поділитися на інших сайтах More sharing options...
Сергей НСТ Опубліковано: 13 жовтня 2018 Поділитись Опубліковано: 13 жовтня 2018 Вот указаны отчеты По результатам исследований, проведенных CSTB (отчеты AC 12 26041158/1 и 12 26041158), акустические свойства Айсинин H2 Foam Lite (LD-C-50) значительно превышают нормативную кривую, особенно в диапазоне средних звуковых частот свыше 400 Гц со значениями RA,tr до 48 дБ (для стен с деревянным каркасом) и до 77 дБ (для бетонных стен). Посилання на коментар Поділитися на інших сайтах More sharing options...
#roofinspector Опубліковано: 13 жовтня 2018 Поділитись Опубліковано: 13 жовтня 2018 значительно превышают нормативную кривую.............со значениями RA,tr до 48 дБ (для стен с деревянным каркасом) и до 77 дБ (для бетонных стен). Расшифровываем: пена лучше чем минимальный норматив для стен из бетона или деревянная стена. Тут возражений нет. Но причём тут мансарда? особенно в диапазоне средних звуковых частот свыше 400 Гц Вот именно об этом я и говорил: низкие частоты лёгкий полимерный материал с большим трудом "кушает". Для сведения: вата работает от 50 герц. Это значительно ниже, чем 400. Т.е. по более широкому спектру. По результатам исследований, проведенных CSTB (отчеты AC 12 26041158/1 и 12 26041158), акустические свойства Айсинин H2 Foam Lite (LD-C-50) Кстати, в этом отчёте указана лямбда 0,038 )))) 1 Посилання на коментар Поділитися на інших сайтах More sharing options...
Сергей НСТ Опубліковано: 13 жовтня 2018 Поділитись Опубліковано: 13 жовтня 2018 Для сведения: вата работает от 50 герц. Это значительно ниже, чем 400. Т.е. по более широкому спектру. Ой, хватит заливать.... работает... Конечно работает, с К = 0,2 при 50 мм и 0,5 при 100 мм. при 125 Гц, 50 Гц никто даже не рассматривает в тестах. www.acoustic.ua/production/826.html?g=4&page=0 Кстати, в этом отчёте указана лямбда 0,038 )))) И что? Есть разные системы с разными ТХ. Выбирайте под нужную задачу, что не так? Добавлено через 6 минут Сравнительная таблица, конечно без печатей НИИ :D porolon-ppu.ru/content/pogloshchenie-zvuka Посилання на коментар Поділитися на інших сайтах More sharing options...
Сергей НСТ Опубліковано: 13 жовтня 2018 Поділитись Опубліковано: 13 жовтня 2018 Вы коллега, похожи на одну мою несостоявшуюся клиентку :D Все померил, посчитал, дал смету по работе и перечень всех материалов на штукатурку в двух вариантах гипс/цемент. Сходу требование - скиньте по работе, будем делать :D Ну ок, давайте. Посмотрела материалы, мешок цементной дешеле - А давайте цементную! Ну ок, давайте. Получила счет от поставщика - А давайте я сама вывезу со склада! Ну ок, давайте (это поставщик соглашается). Звонит мне - а у них нет набрызга, а в таком-то интернет-магазине есть, давайте я там все закажу, что бы одной ходкой забрать, зачем мне мотаться по разным магазинам! Да мне фиолетово, говорю, где хотите, там и берите. Присылает счет от инетмагаза, мол проверьте, все ли правильно?! Рукалицо :D Счет на картинке, а я дал список такой: 1. Баумит Шприц (набрызг) - 30 меш. 2. Клей Силтек Т90 - 15 меш. 3. Сетка 160 гр/м.кв. - 1 рулон 4. Маяки 6 мм 3 м - 100 шт. 5. Штукатурка Полимин MP-L - 180 (по 30 кг) 6. Пленка укрывочная - 1 шт. Звоню говорю - что это за бред? Вы эту ШВ-1 сами будете набрасывать? Маяки почему разные? Малярные уголки зачем/куда? - Ну Вы же заинтересованы в работе, вот и проверьте и поправьте! - Да уже вАпще не заинтересован!- говорю- Я Вам дал весь перечень, просто купите по списку. - А че это я должна покупать то, что Вы мне навязываете?! - Да мне все равно, хоть кизяками с соломой штукатурьте, только без нас - Да так и сделаю!!! с таким упреком еще, капец. На том и попрощались ) 1 Посилання на коментар Поділитися на інших сайтах More sharing options...
#roofinspector Опубліковано: 13 жовтня 2018 Поділитись Опубліковано: 13 жовтня 2018 Ой, хватит заливать.... работает... Конечно работает, с К = 0,2 при 50 мм и 0,5 при 100 мм. при 125 Гц, 50 Гц никто даже не рассматривает в тестах. www.acoustic.ua/production/826.html?g=4&page=0 Правильно ли я поимаю, что ППУ никто на звук даже не тестирует? За неимением потребности. Что и требовалось доказать: ППУ - отличный теплоизолятор, бесщовный, иногда и паронепроницаемый, быстро наносится, имеет хорошую лямбду и дуракоустойчив на этапе устройства но... для мансарды не самый лучший вариант, т.к. конструкция потребует дополнительных мер по звукоизоляции. Очень прошу: переубедите меня. Я сильно рассчитываю на то что весьма некомфортное и трудоёмкое устройство теплоизоляции крыши ватой уйдёт в прошлое. Но пока что не уверен, что владелец дома получит весь комплекс свойств, которые ожидает от тёплой и тихой мансарды. Добавлено через 1 минуту Сравнительная таблица, конечно без печатей НИИ porolon-ppu.ru/content/pogloshchenie-zvuka Вы издеваетесь? Это ж поролон! Пускай, формально, это тоже пенополиуретан, но это совершенно не предмет обсуждения этой темы. 1 Посилання на коментар Поділитися на інших сайтах More sharing options...
Сергей НСТ Опубліковано: 13 жовтня 2018 Поділитись Опубліковано: 13 жовтня 2018 Правильно ли я поимаю, что ...конструкция потребует дополнительных мер по звукоизоляции. Неправильно. Что бы определить необходимость в дополнительных мерах по шумоизоляции, необходимо определить уровень шума проникающего сквозь кровлю и высчитать необходимый индекс шумоизоляции. Вот только тогда и будет понятно, что достаточно, а что не очень. Есть и второй путь - на слух :D Раз уж, Вы, утверждаете, что слой ППУ 200 мм (напыляется легкий ППУ на всю ширину стропильной ноги, че уж экономить копейки) с коэф. 0,75 (хоть он скорее всего и указан для слоя 100 мм) будет недостаточной шумоизоляцией, т.е. даже не снизит шумовую нагрузку до нормативной-не раздражающей, то наверняка проводили необходимые расчеты, правда? Иначе на чем основаны Ваши предположения? Вы издеваетесь? Это ж поролон! Отнюдь. Там черным по белому написано - пенополиуретан. Вы, не на домен смотрите, а на надписи в таблице. Добавлено через 4 минуты ... иногда и паронепроницаемый... Это тоже не правильно в принципе. Не иногда, а под конкретную задачу подбирается конкретная система компонентов. ППУ с открытыми или закрытыми ячейками получают целенаправленно, а не случайно ;) Посилання на коментар Поділитися на інших сайтах More sharing options...
#roofinspector Опубліковано: 13 жовтня 2018 Поділитись Опубліковано: 13 жовтня 2018 Отнюдь. Там черным по белому написано - пенополиуретан. Вы, не на домен смотрите, а на надписи в таблице. Это очередная "картинка" с сайта, который занимается ТОЛЬКО ретикулированным ppu Добавлено через 2 минуты Неправильно. Что бы определить необходимость в дополнительных мерах по шумоизоляции, необходимо определить уровень шума проникающего сквозь кровлю и высчитать необходимый индекс шумоизоляции. Вот только тогда и будет понятно, что достаточно, а что не очень. Есть и второй путь - на слух Раз уж, Вы, утверждаете, что слой ППУ 200 мм (напыляется легкий ППУ на всю ширину стропильной ноги, че уж экономить копейки) с коэф. 0,75 (хоть он скорее всего и указан для слоя 100 мм) будет недостаточной шумоизоляцией, т.е. даже не снизит шумовую нагрузку до нормативной-не раздражающей, то наверняка проводили необходимые расчеты, правда? Иначе на чем основаны Ваши предположения? Короче, склифософский (с), давайте проще: есть 2 технологии: утеплиться ватой и утеплиться напыляемым ППУ. Вопрос: получит ли автор темы одинаковый результат по звкоизоляции при условии незначительной разницы (как вы утверждали) в цене? Да или нет? Если да, то на что вы опираетесь в данном суждении? Если нет - то можно не аргументировать. Посилання на коментар Поділитися на інших сайтах More sharing options...
#roofinspector Опубліковано: 13 жовтня 2018 Поділитись Опубліковано: 13 жовтня 2018 Там черным по белому написано - пенополиуретан. Та я таких "черным по белому" наклепаю сколь угодно много. Смотрите последнюю строку. Тест-репорт лаборатории есть? Посилання на коментар Поділитися на інших сайтах More sharing options...
uteplis Опубліковано: 14 жовтня 2018 Поділитись Опубліковано: 14 жовтня 2018 Компоненты может купить любой желающий свободно, у меня их нет, и склада нет prom.ua/Komponenty-ppu.html Мы лишь выполняем работу. Стоимость переработки 1 кг компонентов от 30 грн., в зависимости от условий работы / объекта. При этом мы используем установку высокого давления, что дает максимально качественный результат и минимизирует расход сырья.Всё таки выполняем работы. Нет в жизни справедливости, а так интересно было поначалу следить за дуэлью, как казалось, независимых экспертов. Добавлено через 1 минуту Тоесть я могу сказать клиенту, обратись к Сергею, он тебе задует пеной 10 плотности за ~1600грн/куб? Походу это только работа. Посилання на коментар Поділитися на інших сайтах More sharing options...
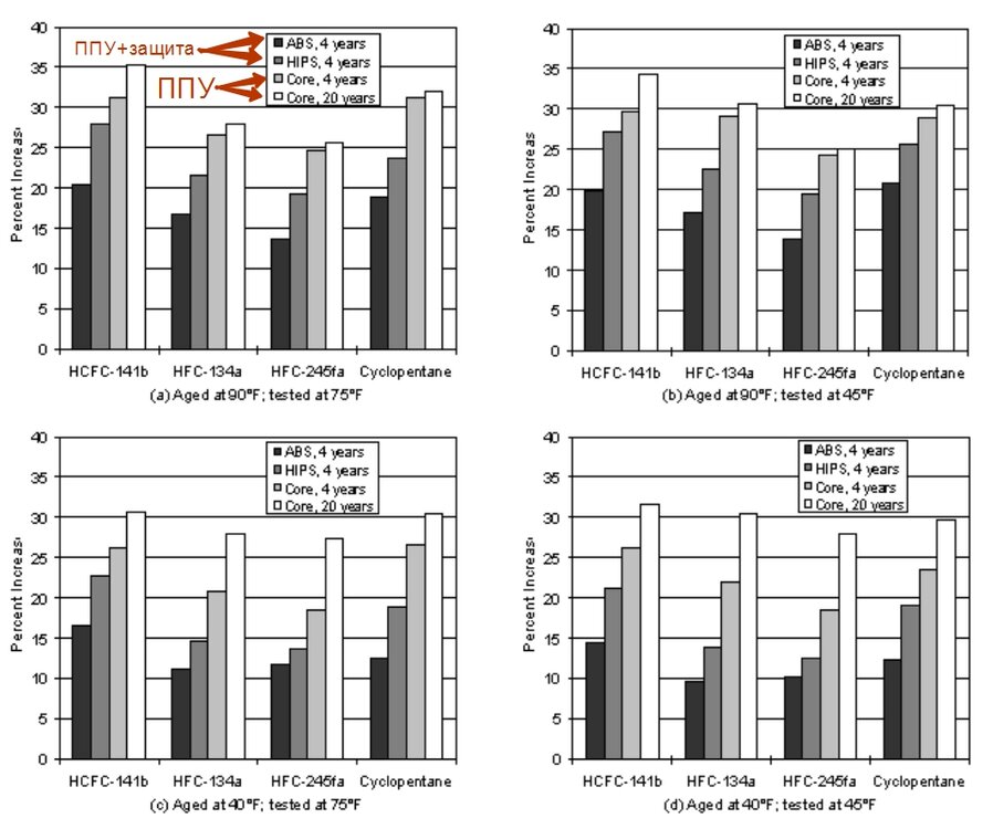
Dmode Опубліковано: 14 жовтня 2018 Поділитись Опубліковано: 14 жовтня 2018 (змінено) плотность 35 и выше, на старте дают действительно 0.02W/mK....еще бы работу по определению изменений ТТХ по мере замещения воздухом вспенивающего агента именно по этому составу... Оказалось сам Басф в старых документах показывает как начальную так и конечную цифру теплропроводности Elastopor H. При этом конечная цифра цифра ухудшается на около 25% Более того, в брошуре про Еластопор, вообще не указывается начальное значение. А конечное значение теплопроводности 0.028W/mK используется как "design value", тоесть именно оно используется при проектировании. ------------------------ Поэтому использование в расчетах и аргументации начального значения мягко говоря не корректно, и являлось бы введением клиента в заблуждение. Уж лучше сообщить ему, что вначале он получит бонусом чуть лучшие показатели, которые через несколько лет опустятся до проектных. ------------------------ Ну и в дополнение к работам американцев и канадцев, по изменениию теплопроводности ППУ во времени, работа от Oak Ridge National Laboratory "СТАРЕНИЕ ППУ ТЕПЛОИЗОЛЯЦИИ В СИМУЛИРОВАННЫХ ХОЛОДИЛЬНЫХ ПАНЕЛЯХ — РЕЗУЛЬТАТЫ ИСПЫТАНИЙ 4 ЛЕТ СО ВСПЕНИВАЮЩИМИ АГЕНТАМИ ТРЕТЬЕГО ПОКОЛЕНИЯ" График изменения теплорпроводности ППУ с разными вспенивателями: Также в этой работе продемонстрировано, что для замедления динамики стремительного ухудшения характеристик, используют сендвич панели из разных материалов, которые замедляют диффузию вспенивающего агента. Вот сравнительные диаграммы ухудшения характеристик, для разных условий выдерживания. Сравнены просто ППУ, и ППУ в сендвич панелях из ABS и HIPS. Видно что покрытие замедляет процесс. Также интересны значения изменений теплопроводности для незащищенного ППУ за 4 и 20 лет для разных температур содержания и испытания, которые для 141 агента, уже через 4 года составляли от ~26% до ~32%. --------------------- Вышеизложенные труды демонстрируют, что 25% ухудшение теплопроводности указанных Басф в конечном значении, может быть несколько оптимистичным, так как они фиксируют и бóльшие значения изменений. Змінено 14 жовтня 2018 користувачем Dmode 4 Посилання на коментар Поділитися на інших сайтах More sharing options...
Сергей НСТ Опубліковано: 14 жовтня 2018 Поділитись Опубліковано: 14 жовтня 2018 Короче, склифософский (с), давайте проще: есть 2 технологии: утеплиться ватой и утеплиться напыляемым ППУ. Давайте ) Поскольку замеров и расчетов Вы не делали, то на основании того, что ППУ является одним из лучших звукоизоляторов, я могу смело утверждать, что клиент гарантированно получит уровень звукоизоляции при утеплении ППУ не ниже, чем при утеплении минватой. Добавлено через 10 минут Более того, в брошуре про Еластопор, вообще не указывается начальное значение. А конечное значение теплопроводности 0.028W/mK Все равно состаляет недостижимые для минваты параметры :D При этом речь идет об одной из систем с закрытой ячейкой, которые являются гидроизолирующими и не накапливают влагу. В то время как увлажнение минваты всего на 5% приводит к ухудшению её теплопроводности на порядки и составляет целых 0,2 против 0,04 заявленных производителем в сухом состоянии! Если говорить о системах с открытой ячейкой с показателями лямбда 0,03-0,038 то в них ничего не диффузирует и не замещается, следовательно и показатели теплопроводности не изменяются во времени, а способность к влагонакоплению ниже, чем у минваты. Почему-то вы оба крайне манипулятивно излагаете свои аргументы. Добавлено через 16 минут Походу это только работа. Смотрю в книгу - вижу... что? :D 1600 грн. будет стоить работа по напылению куба ППУ с плотностью под 60, по которому можно ходить :D такие системы применяются для эксплуатируемых кровель. А работа по напылению куба легкого ППУ будет стоить 300 грн. Посилання на коментар Поділитися на інших сайтах More sharing options...
Сергей НСТ Опубліковано: 14 жовтня 2018 Поділитись Опубліковано: 14 жовтня 2018 Какие Ваши доказательства?! (с) После чего следует правый хук А. Шварцнеггера в челюсть вопрошавшего :D FIW подтвердил, что полиуретановая пена «не имеет повреждений, заслуживающих внимания» и «все еще не содержит дефектов». Более того, «изоляционные панели из PUR спустя 33 года применения полностью функциональны и продолжают соответствовать всем заявленным значениям и характеристикам». www.nappan.ru/library/durability/Vskrytiya_starykh_krovel_dokazali_dolgovechnost_teploizolyatsii_PIR/ 1 Посилання на коментар Поділитися на інших сайтах More sharing options...
Dmode Опубліковано: 14 жовтня 2018 Поділитись Опубліковано: 14 жовтня 2018 (змінено) Все равно состаляет недостижимые для минваты параметры :D Вот еще интересный пример на тему аргумента "эквивалентной толщины", часто используемым при упрощенных рассуждениях. Задача утеплить перекрытие из балок 100х250 с шагом 500мм. Берем: Эластопор H с 0.028W/mK, 35кг/м3 Вата 0.042W/mK (условия А), 30кг/м3 Определяем эквивалентную толщину Эластопора, соответсвующую толщине ваты 250мм: 0.028*250/0.042=167мм. Определяем х-ки теплопроводности уже пирога с заданными параметрами: 1. ПЕНА 167мм между балок: U0.262W/m²K, теплоемкость внутренних слоев 14.8 kJ/m²K 2. ВАТА 250мм между балок: U0.218W/m²K , теплоемкость внутренних слоев 17.6 kJ/m²K Итого второй вариант на 20% эффективней по теплосопротивлению, и на 19% эффективней по теплоемкости . А если сделать хорошо пароизоляцию с уровнем герметичности n50<0.6, то эффективность ваты будет еще выше, чем для условий А. Змінено 14 жовтня 2018 користувачем Dmode 3 Посилання на коментар Поділитися на інших сайтах More sharing options...
Dmode Опубліковано: 14 жовтня 2018 Поділитись Опубліковано: 14 жовтня 2018 (змінено) Какие Ваши доказательства?! (с) После чего следует правый хук А. Шварцнеггера в челюсть вопрошавшего :D www.nappan.ru/library/durability/Vskrytiya_starykh_krovel_dokazali_dolgovechnost_teploizolyatsii_PIR/ Так тож на заказ пенополиуретанщиков и выложено в материалах пенополируетанщиков. И не известно какими параметрами обладал PUR на момент его монтажа, так как исследования были сделаны только в конце. Ну а то что они отвечают заявленным, так отлично. Вопрос только насколько заявленные (когда и кем не известно) отличались от начальных фактических мы никогда уже не узнаем. Ну и в этом материале речь о пене закрытой с обоих сторон алюминием, что как видно из работы ORNL, замедляет ухудшение х-к. Змінено 14 жовтня 2018 користувачем Dmode 1 Посилання на коментар Поділитися на інших сайтах More sharing options...
Сергей НСТ Опубліковано: 14 жовтня 2018 Поділитись Опубліковано: 14 жовтня 2018 Вот еще интересный пример на тему аргумента "эквивалентной толщины", часто используемым при упрощенных рассуждениях. Задача утеплить перекрытие из балок 100х250 с шагом 500мм. Берем: Эластопор H с 0.028W/mK, 35кг/м3 Вата 0.042W/mK (условия А), 30кг/м3 Снова манипуляции Вам вата выгодна в виду частых заказов по энергоаудиту зданий из-за проблем с утеплением ватой? :D Манипуляция здесь основана на толщине дерева участвующей в теплоизоляции. Берем... Возьмите ППУ с открытой ячейкой, с лямбда 0,03 и надуйте 250 мм. Результат будет очевиден и не в пользу ваты. А если сделать хорошо пароизоляцию с уровнем герметичности n50<0.6, то... ... жили бы мы в коммунизме :D Вы, сами то в это верите? В кровле? А если сделать хорошо пароизоляцию с уровнем герметичности n50<0.6, то... Даже если допустить такую вероятность, то ППУ все равно выиграет. Добавлено через 7 минут Так тож на заказ пенополиуретанщиков и выложено в материалах пенополируетанщиков. А можно увидеть подобные исследования на заказ ватников и выложенных в материалах ватников? :D Шо, нету? Пичаль... И не известно какими параметрами обладал PUR на момент его монтажа, так как исследования были сделаны только в конце. Ну а то что они отвечают заявленным, так отлично. Вопрос только насколько заявленные (когда и кем не известно) отличались от начальных фактических мы никогда уже не узнаем. Что Вам мешает сделать запрос в FIW и получить информацию о том, где они взяли заявленные показатели? Думаете там архивов нет по подрядам на СМР? Очередная манипуляция. Ну и в этом материале речь о пене закрытой с обоих сторон алюминием, что как видно из работы ORNL, замедляет ухудшение х-к. Ну вообще-то там два варианта, с покрытием и без. В обоих случаях нечего замедлять, так как старение не происходит. 1 Посилання на коментар Поділитися на інших сайтах More sharing options...
Рекомендовані повідомлення
Створіть акаунт або увійдіть у нього для коментування
Ви маєте бути користувачем, щоб залишити коментар
Створити акаунт
Зареєструйтеся для отримання акаунта. Це просто!
Зареєструвати акаунтУвійти
Вже зареєстровані? Увійдіть тут.
Увійти зараз