volomoto Опубліковано: 13 квітня 2021 Поділитись Опубліковано: 13 квітня 2021 Зимой пробовал несколько дней подавать +5 или около того, проблем не было даже в котельной, где неутеплены воздуховоды. Взимку при внутрішній вологості 30% точка роси всього кілька градусів, а влітки при +25° 55% — +15°. у меня все каналы утеплены мин. 10 мм полиэтилена (колени), или 20 мм ваты (труба) Для кондиціонування канали не прсто мають бути утеплені, а ще й обгорнуті неперервним шаром пароізоляції поверх утеплення. І всі адатпери також мають бути паро-теплоізольовані Добавлено через 30 секунд это дешевле, чем лечить вавку в своей голове Тут вам видніше Добавлено через 1 минуту я работаю дома. жена с меньшим дитем в декрете. так что вентиляция работает всегда Це зараз так, а системи будинку потрібно проектувати під більш ширші умови експлуатації. 1 Посилання на коментар Поділитися на інших сайтах More sharing options...
Dmode Опубліковано: 13 квітня 2021 Поділитись Опубліковано: 13 квітня 2021 Приїхали конектори. Заміряв перепад тиску перед та після теплообмінника до фільтру та після фільтру. В дужках паспортні дані теплообмінника. 300м3/год: 81Па без фільтру (68Па) 200м3/год: 50Па без фільтру (38Па) Тобто сам корпус додав до паспортних даних +13Па та +12Па відповідно. 300м3/год: 104Па з фільтром 200м3/год: 64Па з фільтром Тобто моя комбінація з 4 чистих автомобільних фільтрів дає опір близько 23Па та 14Па відповідно. Якщо додати ще грубо 100-50Па на систему, то в перерахунку на потужність це близько 50Вт та 30Вт на вентилятор. Буду робити заміри ще коли змонтую всю систему. 3 Посилання на коментар Поділитися на інших сайтах More sharing options...
shneider_vova Опубліковано: 13 квітня 2021 Поділитись Опубліковано: 13 квітня 2021 А открытие байпаса как влияет на сопротивление? Посилання на коментар Поділитися на інших сайтах More sharing options...
Dmode Опубліковано: 13 квітня 2021 Поділитись Опубліковано: 13 квітня 2021 А открытие байпаса как влияет на сопротивление?Байпаса пока нет. Заклеен наглухо. Посилання на коментар Поділитися на інших сайтах More sharing options...
fim Опубліковано: 13 квітня 2021 Поділитись Опубліковано: 13 квітня 2021 Канальный охладитель для эксперимента брать не хочу так как его стоимость в разы выше нагревателя. Він дорогий, бо там високі вимоги корозостійкості. Якщо нагрівач використовувати як охолоджувач, то він може зігнити дуже скоро і виробник хіба розведе руками, бо були порушені умови експлуатації + в охладителе есть каплеулавливатель (конденсата), что бы конденсат не попадал в каналы, а попадал в поддон т.е. охладитель можно использовать как нагреватель нагреватель нельзя использовать как охладитель я уточнял у производителя (вентс) перед покупкой себе охладителя Візьмемо такі вхідні дані: Зовнішнє повітря — +30° 60%, ентальпія 71.2 кДж/кг Внутрішнє — +22° 50%, ентальпія 43 кДж/кг Потік. — 400 м куб/год, або 480 кг/год в первый год когда я запустил пассивное охлаждения, поставл уставку 22С ))) в реальности летом все что ниже 24С - это уже холодно и можно спать под теплыми одеялами (хз возможно из за "холодных поверхностей") опять таки чем выше уставка, тем меньше проблем с влажностью) ну а верхний предел я бы взял повыше (Зовнішнє повітря) 3 Посилання на коментар Поділитися на інших сайтах More sharing options...
shneider_vova Опубліковано: 13 квітня 2021 Поділитись Опубліковано: 13 квітня 2021 Візьмемо такі вхідні дані: Зовнішнє повітря — +30° 60%, ентальпія 71.2 кДж/кг Внутрішнє — +22° 50%, ентальпія 43 кДж/кг Потік. — 400 м куб/год, або 480 кг/год а можете посчитать несколько иной вариант (мне не очень хочется вникать в энтальпию)? имеем +30 и 60% влажности на улице. после выхода из теплообменника будет Х° градусов и Y% влажности (КПД принимаем 80%). В доме +24° 50%. Я хочу, чтобы в дом подавался воздух так, чтобы отбирать 1 квт от внутреннего воздуха. до какой температуры надо охладить воздух на выходе с канального охладителя (и какая у него будет мощность)? и что при этом будет с влажностью? расход воздуха 300 м3/час. заранее огромное спасибо Посилання на коментар Поділитися на інших сайтах More sharing options...
volomoto Опубліковано: 13 квітня 2021 Поділитись Опубліковано: 13 квітня 2021 в реальности летом все что ниже 24С - это уже холодно и можно спать под теплыми одеялами (хз возможно из за "холодных поверхностей") Ну та, я порахував для екстремальних умов, бо і +30 рідко буває, і +22 окей для офісу, а вдома може бути тепліше. Можна спокійно зменшити мої розрахунки на третину. а можете посчитать несколько иной вариант (мне не очень хочется вникать в энтальпию)? имеем +30 и 60% влажности на улице. после выхода из теплообменника будет Х° градусов и Y% влажности (КПД принимаем 80%). В доме +24° 50%. Я хочу, чтобы в дом подавался воздух так, чтобы отбирать 1 квт от внутреннего воздуха. до какой температуры надо охладить воздух на выходе с канального охладителя (и какая у него будет мощность)? и что при этом будет с влажностью? расход воздуха 300 м3/час. заранее огромное спасибо Я колись навіть таке рахував, може знайду свою ексельку, якщо не знайду, то знову порахую, але не гарантую швидкої відповіді Я так розумію, що у вас теплообмінник з полістиролу? Посилання на коментар Поділитися на інших сайтах More sharing options...
shneider_vova Опубліковано: 13 квітня 2021 Поділитись Опубліковано: 13 квітня 2021 але не гарантую швидкої відповіді я пока никуда не спешу Добавлено через 1 минуту Я так розумію, що у вас теплообмінник з полістиролу? Zern hc-ex6 366-500-2 www.blauberg.co.uk/en/zern-hc-ex6-plate-counter-flow-thermoplastic-heat-recovery-core Посилання на коментар Поділитися на інших сайтах More sharing options...
av2 Опубліковано: 14 квітня 2021 Поділитись Опубліковано: 14 квітня 2021 Візьмемо такі вхідні дані: Зовнішнє повітря — +30° 60%, ентальпія 71.2 кДж/кг Внутрішнє — +22° 50%, ентальпія 43 кДж/кг в континентальной части Украины +30 и 60% влажности - маловероятное. Для Харькова я проверял дневники погоды аэропорта - пики в районе +30° и 30-35% влажности( что вообще не далеко от +22° и 50% по влагосодержанию, да и энтальпия поближе). Важно проверять именно почасовые значения пары температура-влажность, тк в обычных дневниках погоды указывается максимальное значение относительной влажности за сутки, что наступает обычно ночью при температуре 15-20. Для большого запаса и в качестве экстремальных условий - да, может быть полезно, но горячий и влажный воздух - большая редкость. 2 Посилання на коментар Поділитися на інших сайтах More sharing options...
fim Опубліковано: 15 квітня 2021 Поділитись Опубліковано: 15 квітня 2021 Для Харькова я проверял Киев более влажный ) (01.07.2019-31.08.2019) kVh.xls 1 Посилання на коментар Поділитися на інших сайтах More sharing options...
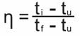
Dmode Опубліковано: 6 жовтня 2021 Поділитись Опубліковано: 6 жовтня 2021 Змонтував і тестово запустив вчора свого франкенштейна. Поки без автоматики взагалі, бо її ще не робив. Кілька замірів показали досить оптимістичні дані по КПД. По формулі , де Спойлер tu — температура зовнішнього повітря; tf — температура витяжки (до рекуперації); ti — температура притоку (після рекуперації). ~70 m3/h: (22,4-5,2)/(23,9-5,2)=92% ~120 m3/h: (23,3-7,7)/(25,1-7,7)=90% ~200 m3/h: (21,3-5,8)/(23,7-5,8)=87% 2 Посилання на коментар Поділитися на інших сайтах More sharing options...
Dmode Опубліковано: 6 жовтня 2021 Поділитись Опубліковано: 6 жовтня 2021 (змінено) Хто знає з якого матеріалу пошиті ковпаки від Зендера (в спойлері), і де його придбати можна? Вони ніби G3 aбо G4 по класу. Хочу поставити на витяжні анемостати. Вже купив подібний матеріал. Спойлер cleanfilter.eu/en/product/filter-for-exhaust-valve-dn-100-5-units/?v=c562607189d7 Змінено 6 жовтня 2021 користувачем Dmode Посилання на коментар Поділитися на інших сайтах More sharing options...
Рекомендовані повідомлення
Створіть акаунт або увійдіть у нього для коментування
Ви маєте бути користувачем, щоб залишити коментар
Створити акаунт
Зареєструйтеся для отримання акаунта. Це просто!
Зареєструвати акаунтУвійти
Вже зареєстровані? Увійдіть тут.
Увійти зараз