Сергей НСТ Опубліковано: 11 жовтня 2018 Поділитись Опубліковано: 11 жовтня 2018 Вот их вывод: ссSPF (ППУ закр.яч.) со временем продемонстрировало самое большое снижение теплотехнических характеристик (до 27.5%), предположительно... Ого, аж от 15 до 27,5% ) А в какой временной отрезок? :D Добавлено через 3 минуты Пока не понял об одном и том же мы говорим, или о разном. Я оперирую данными по ценам киевских "задувал" пеной. Мне называли существенно бОльшие цифры. На ППУ дают гранты айкью энерджи ) Под это дело могут норм вдуть :D Добавлено через 2 минуты Или Вы говорите о себестоимости пены для монтажной организации, а не о цене для клиента... Компоненты может купить любой желающий свободно, у меня их нет, и склада нет :D prom.ua/Komponenty-ppu.html Мы лишь выполняем работу. Стоимость переработки 1 кг компонентов от 30 грн., в зависимости от условий работы / объекта. При этом мы используем установку высокого давления, что дает максимально качественный результат и минимизирует расход сырья. Добавлено через 2 минуты ...можно ли Вас (и Вашу озвученную цену) рассматривать как альтернативу для клиента который хочет задуть пеной объект... Нужно! 1 Посилання на коментар Поділитися на інших сайтах More sharing options...
Скромный прораб Опубліковано: 11 жовтня 2018 Поділитись Опубліковано: 11 жовтня 2018 Погуглил, меньше 10€/м2 (50мм) не нашел Посилання на коментар Поділитися на інших сайтах More sharing options...
Сергей НСТ Опубліковано: 11 жовтня 2018 Поділитись Опубліковано: 11 жовтня 2018 ...меньше 10€/м2 (50мм) не нашел Ну это же прЭкрасно, коллега! Записывайтесь к нам! :D Добавлено через 2 минуты Серега, лучше б ты признался что его продаешь:rolleyes Издеваеся или таки шо? ..то ето херня 100%:D Агрессивно втюхивают пока всем вату :D Было бы херней, я бы не вкладывал в это направление силы и средства ;) 2 Посилання на коментар Поділитися на інших сайтах More sharing options...
Dmode Опубліковано: 11 жовтня 2018 Поділитись Опубліковано: 11 жовтня 2018 Ого, аж от 15 до 27,5% ) А в какой временной отрезок? :D 15% в выводе касается аэрогеля. А срок около 600 дней. В климатической камере создавали несколько условий от натуральных до стрессовых: 25С60%rh, 60C60%rh, 60C90%rh. В стрессовых резкое падение наблюдалось уже в первые 50 дней. На ППУ дают гранты айкью энерджи ) Под это дело могут норм вдуть :DТа то само собой. Мы лишь выполняем работу. Стоимость переработки 1 кг компонентов от 30 грн., в зависимости от условий работы / объекта. Тоесть я могу сказать клиенту, обратись к Сергею, он тебе задует пеной 10 плотности за ~1600грн/куб? 1 Посилання на коментар Поділитися на інших сайтах More sharing options...
Сергей НСТ Опубліковано: 11 жовтня 2018 Поділитись Опубліковано: 11 жовтня 2018 Тоесть я могу сказать клиенту, обратись к Сергею, он тебе задует пеной 10 плотности за ~1600грн/куб? Совершенно верно. Добавлено через 43 секунды Лямда Elastospray там упомянуто 0.028 Есть системы разных плотностей и ТХ. Смотрите Elastospray 1652/1 1 Посилання на коментар Поділитися на інших сайтах More sharing options...
Dmode Опубліковано: 11 жовтня 2018 Поділитись Опубліковано: 11 жовтня 2018 Совершенно верно. Ок, принято. 1 Посилання на коментар Поділитися на інших сайтах More sharing options...
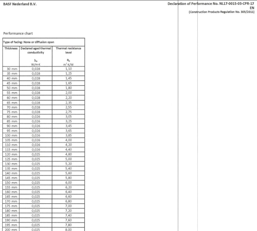
Dmode Опубліковано: 11 жовтня 2018 Поділитись Опубліковано: 11 жовтня 2018 Смотрите Elastospray 1652/1 Декларация с сайта Басф. При малой толщине до 75мм лямда = 0.028 При увеличении до 200мм снижается до 0.025 Упс не то, это для 1672/1 Кстати странно, 1652/1 гуглится только у киевского поставщика. На сайте же Basf нет такой спецификации вообще, но есть другие... 2 Посилання на коментар Поділитися на інших сайтах More sharing options...
mastervovik Опубліковано: 11 жовтня 2018 Поділитись Опубліковано: 11 жовтня 2018 Было бы херней, я бы не вкладывал в это направление силы и средства Ну ладно, "тренируйся пока на кошечках" я постою посмотрю в сторонке.:D Добавлено через 1 минуту 1600грн/куб? Это с материалом? Не, если по кругу 1600, то своя ниша есть железная, хотя бы на замену плотному базальту, с мягким такими темпами снижения цены может тоже подвинет, посмотрим... 1 Посилання на коментар Поділитися на інших сайтах More sharing options...
Dmode Опубліковано: 11 жовтня 2018 Поділитись Опубліковано: 11 жовтня 2018 Вот остальные декларации с сайта polyurethanes.basf.de 2404, 1723, 1629, 1623, 1622, 1601, 1272, 1222 Лямда в границах 0.039~0.025. 2 Посилання на коментар Поділитися на інших сайтах More sharing options...
#roofinspector Опубліковано: 11 жовтня 2018 Поділитись Опубліковано: 11 жовтня 2018 Реальный срок службы минваты с учетом идеального монтажа не превышает 10 лет Какие ваши доказательства? уже через год она может потерять до 40% теплоизоляционных свойств. А может и не потерять. Не так ли? Только вот на днях считал клиенту варианты вентфасада с ватой и ППУ Причём тут вентфасад, если тема про мансарду? 2 Посилання на коментар Поділитися на інших сайтах More sharing options...
Скромный прораб Опубліковано: 11 жовтня 2018 Поділитись Опубліковано: 11 жовтня 2018 Тоесть я могу сказать клиенту, обратись к Сергею, он тебе задует пеной 10 плотности за ~1600грн/куб? Что бы не получилось как с той юшкой, которая из из дешевой рыбки((( Посилання на коментар Поділитися на інших сайтах More sharing options...
Сергей НСТ Опубліковано: 11 жовтня 2018 Поділитись Опубліковано: 11 жовтня 2018 ...хотя бы на замену плотному базальту... Дык мы ж тута за легкий кровельный и трем :D Плотная вата ваапще нервно курит в сторонке... Добавлено через 25 минут Какие ваши доказательства? На следующий объект с демонтажем мокрой ваты обязательно Вас приглашу ;) А может и не потерять. Не так ли? Может конечно, но скорее всего таки потеряет :D Причём тут вентфасад, если тема про мансарду? Ни при чем, так, к слову. Мне другое интересно, а че все так топят за минвату? Вы её шо, производите или торгуете, а? :D Строители - коллеги, а почему вы выступаете против объективно более лучшего решения для застройщиков? Давайте по чесноку, колитесь Добавлено через 7 минут Кстати странно, 1652/1 гуглится только у киевского поставщика.. На первой странице гугля минимум три поставщика www.folgoizol.com/syre-i-materialy-dlya-proizvodstva-penopoliuretana.html edvans.com.ua/materialyi/dlya-napyilyaemyix-sistem/ www.ppu21.com.ua/komponenty-dlya-ppu/elastopor-h-1652-1-elastopor-h-1652-1.html Добавлено через 21 минуту Вот остальные декларации с сайта polyurethanes.basf.de Лямда в границах 0.039~0.025. Делается он на 141 фреоне, в Европах низя :D за озоновый слой планеты сильно переживают. 1 Посилання на коментар Поділитися на інших сайтах More sharing options...
Dmode Опубліковано: 12 жовтня 2018 Поділитись Опубліковано: 12 жовтня 2018 Что бы не получилось как с той юшкой, которая из из дешевой рыбки((( Раз сам Basf не декларирует данных об этом составе, то местные продавцы могли бы позволить себе приукрасить действительность. В таком случае нельзя быть уверенным в достоверности данных продавцов. И поэтому я бы привязывался все-таки к данным Basf по другим составам. Принимая во внимание, что по остальным составам декларируемым Basf, самые оптимистичные значения λ находятся на уровне: от 0.025W/mK при толщине от 120 мм до 0.028W/mK при толщине до 75 мм То с учетом уровня постепенного снижения характеристик указанных в работе американцев, в связи с диффузией вспенивающего агента, через некоторое время уровень теплопроводности увеличится: от 0.032W/mK при толщине от 120 мм до 0.038W/mK при толщине до 75 мм ИМХО эти значения были бы более обоснованными, чем коммерческие данные местных дилеров. Добавлено через 18 минут На следующий объект с демонтажем мокрой ваты обязательно Вас приглашу ;) Так, тож не доказательство, поскольку мокрая вата это нарушение технологии. Может конечно, но скорее всего таки потеряет :D у нас свобода вероисповеданий Строители - коллеги, а почему вы выступаете против объективно более лучшего решения для застройщиков? Давайте по чесноку, колитесь Так оценка "лучшее" без привязки к конкретному случаю, как правило субьективна. Тут мы пытаемся обсудить все плюсы и минусы материала. Пока его минусом была существенно бОльшая цена. На первой странице гугля минимум три поставщика Имел ввиду, что только в Киеве (UA), и нигде больше. На сайте Basf никаких упоминаний. Не совсем добросовестный поставщик мог бы заявить любые характеристика состава, якобы от Basf, потому что все равно проверить их у Basf не получится. 5 Посилання на коментар Поділитися на інших сайтах More sharing options...
#roofinspector Опубліковано: 12 жовтня 2018 Поділитись Опубліковано: 12 жовтня 2018 На следующий объект с демонтажем мокрой ваты обязательно Вас приглашу Замётано. Будет крайне полезно, с профессиональной точки зрения, в разрезе моей основной работы Добавлено через 1 минуту Строители - коллеги, а почему вы выступаете против объективно более лучшего решения для застройщиков? Давайте по чесноку, колитесь Я, в частности, не говорил что я против. Я за объективную оценку, что у вас, пока что, не получается Добавлено через 28 секунд Может конечно, но скорее всего таки потеряет И всё таки это ваше личное ПРЕДПОЛОЖЕНИЕ Посилання на коментар Поділитися на інших сайтах More sharing options...
Скромный прораб Опубліковано: 12 жовтня 2018 Поділитись Опубліковано: 12 жовтня 2018 Раз сам Basf не декларирует данных об этом составе, то местные продавцы могли бы позволить себе приукрасить действительность. В таком случае нельзя быть уверенным в достоверности данных продавцов. И поэтому я бы привязывался все-таки к данным Basf по другим составам. ................. basf-ppu.com/themes/default/tu/TDS-Elastospray%201601-15-М1.pdf Посилання на коментар Поділитися на інших сайтах More sharing options...
Скромный прораб Опубліковано: 12 жовтня 2018 Поділитись Опубліковано: 12 жовтня 2018 ........... basf-ppu.com/themes/default/tu/TDS-1622-33.pdf 2 Посилання на коментар Поділитися на інших сайтах More sharing options...
Сергей НСТ Опубліковано: 12 жовтня 2018 Поділитись Опубліковано: 12 жовтня 2018 ........... basf-ppu.com/themes/default/tu/TDS-1622-33.pdf Спасибо, коллега, зачет 0,0209 Посилання на коментар Поділитися на інших сайтах More sharing options...
Скромный прораб Опубліковано: 12 жовтня 2018 Поділитись Опубліковано: 12 жовтня 2018 Спасибо, коллега, зачет 0,0209 Да пожалуйста, только это при плотности 30кг/м3, а вот при Ваших 10кг/м3, а другой просто не может быть при цене 1600гр/м3, показатели не столь оптимистичны и "всего" 0,035. И как быть?((( basf-ppu.com/themes/default/t...1601-15-М1.pdf Посилання на коментар Поділитися на інших сайтах More sharing options...
Dmode Опубліковано: 12 жовтня 2018 Поділитись Опубліковано: 12 жовтня 2018 ........... basf-ppu.com/themes/default/tu/TDS-1622-33.pdf Домен зарегистрирован год назад на россии на частное лицо и никакого отношения к Basf не имеет. 2 Посилання на коментар Поділитися на інших сайтах More sharing options...
Скромный прораб Опубліковано: 12 жовтня 2018 Поділитись Опубліковано: 12 жовтня 2018 Домен зарегистрирован год назад на россии на частное лицо и никакого отношения к Basf не имеет. И что? Что от этого нет зависимости теплопроводности ППУ от его плотности? Посилання на коментар Поділитися на інших сайтах More sharing options...
Dmode Опубліковано: 12 жовтня 2018 Поділитись Опубліковано: 12 жовтня 2018 Спасибо, коллега, зачет 0,0209 Рано зачет ставить. По ссылке с непонятного домена дают лямда 0.0209 для состава 1622 А на самом сайте БАСФ для этого состава уже была выложена таблица https://www.stroimdom.com.ua/forum/showpost.php?p=4727179&postcount=34 Вот она. Добавлено через 2 минуты И что? Я к тому, что на стороннем ресурсе данные могут отличатся от данных Басф. Что от этого нет зависимости теплопроводности ППУ от его плотности?В данных Басф как раз есть зависимость не только от плотности, но для некоторых составов и от толщины. Добавлено через 7 минут Да пожалуйста, только это при плотности 30кг/м3, а вот при Ваших 10кг/м3, а другой просто не может быть при цене 1600гр/м3, показатели не столь оптимистичны и "всего" 0,035. И как быть?((( basf-ppu.com/themes/default/t...1601-15-М1.pdf А вот таблица с сайта Басф для 1601. Лямда 0.039 3 Посилання на коментар Поділитися на інших сайтах More sharing options...
Сергей НСТ Опубліковано: 12 жовтня 2018 Поділитись Опубліковано: 12 жовтня 2018 На одном из сайтов продающих ппу с 0,02 так и написано, что применение фреона 141 позволяет получить показатели лучше, чем на вспенивателях разрешенных в европе. Посилання на коментар Поділитися на інших сайтах More sharing options...
Dmode Опубліковано: 12 жовтня 2018 Поділитись Опубліковано: 12 жовтня 2018 На одном из сайтов продающих ппу с 0,02 так и написано, что применение фреона 141 позволяет получить показатели лучше, чем на вспенивателях разрешенных в европе. Может быть и так. А может и нет. Ведь продавцу надо как-то продавать свой товар, который не продают в Европе... 2 Посилання на коментар Поділитися на інших сайтах More sharing options...
Скромный прораб Опубліковано: 12 жовтня 2018 Поділитись Опубліковано: 12 жовтня 2018 Вообщем, для себя сделал вывод, не готов я к такому утеплению(((. ППУ плотностью 30-50кг/м3 большинству заказчиков не по карману, а нанесение материала с плотностью 8-12кг/м3 мягко говоря, не соответствует цена/качество. ИМХО, конечно. Пока понаблюдаю, в стороне purinova.com.ua/images/PPU_systhem/Vidkryta_chy_zakryta.pdf От польского производителя ППУ: Посилання на коментар Поділитися на інших сайтах More sharing options...
Сергей НСТ Опубліковано: 12 жовтня 2018 Поділитись Опубліковано: 12 жовтня 2018 То с учетом уровня постепенного снижения характеристик указанных в работе американцев, в связи с диффузией вспенивающего агента, через некоторое время уровень теплопроводности увеличится: от 0.032W/mK при толщине от 120 мм до 0.038W/mK при толщине до 75 мм тесты от "Разрушителей мифов" будем рассматривать к руководству? :D Сейчас говорил с руководителем одной из продающих компаний, он утверждает, что Басф декларирует показатели в условиях эксплуатации. Обещал на днях скинуть ТУ и протоколы испытаний. Так, тож не доказательство, поскольку мокрая вата это нарушение технологии. Это доказательство проблем применения данного материала, т.к. нарушение технологии его монтажа встречается очень часто. Чего о ППУ нужно постараться найти. Технологичность монтажа, это один из самых важных критериев достижения необходимых параметров с наименьшими рисками. Это мы еще не обсуждали проблем пыления и выделения вредных веществ. Недавно здесь была яркая тема о постоянном пылении утеплителя в съемном таунхаусе, это же просто жестяк жестяцкий! Так оценка "лучшее" без привязки к конкретному случаю, как правило субьективна. Согласен. Только ППУ не вчера придумано и не мною описаны его ТХ, а так же проверены временем. Абсолютно по всем параметрам вата уступает ППУ. Моя концепция в строительном бизнесе, это предложение и реализация лучших решений с лучшим качеством. Возможно не самых дешевых решений, но дешевизна никогда и не была критерием высокого качества. Была бы минвата лучшим решением, чем ППУ, то я занимался бы исключительно ватой Тут мы пытаемся обсудить все плюсы и минусы материала. Пока его минусом была существенно бОльшая цена. Неправда. Я выше привел пример с легким ППУ, он дешевле самой дешманской ваты. Добавлено через 2 минуты ...а нанесение материала с плотностью 8-12кг/м3 мягко говоря, не соответствует цена/качество.... Гениальный вывод, коллега! :D рукалицо Что и чему не соответствует? 1 Посилання на коментар Поділитися на інших сайтах More sharing options...
Рекомендовані повідомлення
Створіть акаунт або увійдіть у нього для коментування
Ви маєте бути користувачем, щоб залишити коментар
Створити акаунт
Зареєструйтеся для отримання акаунта. Це просто!
Зареєструвати акаунтУвійти
Вже зареєстровані? Увійдіть тут.
Увійти зараз