Татьяна5 Опубліковано: 1 квітня 2020 Поділитись Опубліковано: 1 квітня 2020 На каждый товар есть свой покупатель. Кому подешевле, а кому получше, это ж нормально общая фраза этот утеплитель не дешевый, плюсы у него как у пены - минимум мостиков холода, минус - потенциальная усадка Добавлено через 1 минуту Я бы тоже не жрал бор и свинцовую краску перемолотых газет угу, а вата, ппу и пенопласт - ну просто примеры для экологичности Сереж, каждому свое, но выбор есть всегда 3 Посилання на коментар Поділитися на інших сайтах More sharing options...
Movix Опубліковано: 1 квітня 2020 Поділитись Опубліковано: 1 квітня 2020 Есть заявленный параметр от производителя и там же есть сертификат испытаний. Если есть сомнения - пишите им. Кому писать? Пожарникам? Так они в статье и пишут, гост по Которому тестируют-кривой. А производители xps и eps как раз лоббируют изменение гостов. Естественно что это им на руку, ведь по закону, Г1 может применяться практически везде. Я лишь хотел откомментировать фразу что что по дбн xps и eps можно пихать даже в мансарду. По ДБН да, и по личному желанию тоже да, но наличие сертификата в данном случае, к сожалению, совершено ничего не значит. «У практиці пожежогасіння відомо багато випадків пожеж будівель із легких металевих конструкцій, в яких було використано утеплювач з пінополістиролу. Особливо небезпечні пожежі суміщених покриттів таких будинків, адже неодноразово траплялись випадки часткового або повного їх обвалення, ще до прибуття пОжежних підрозділів, при цьому розплавлений пінополістирол “вогняним дощем” проливався усередину приміщень, значно ускладнюючи гасіння пожежі. Таким чином, класифікація пінополістиролу за методом [5] більш об’єктивно відображає пожежну небезпеку цього матеріалу» Посилання на коментар Поділитися на інших сайтах More sharing options...
Dmode Опубліковано: 1 квітня 2020 Поділитись Опубліковано: 1 квітня 2020 общая фраза этот утеплитель не дешевый, плюсы у него как у пены - минимум мостиков холода, минус - потенциальная усадка Добавлю еще плюсов и минусов. Плюс. Сделаем вид, что мыслим глобально, и хотим использовать материалы с наименьшей составляющей энергии, затраченной на производство. Так вот целюлоза (CF) тут среди лидеров, меньше энергии нужно только на соломенные блоки (SB). (На диаграмме значение к-ва энергии, из расчета на 1м2 утеплителя толщиной необходимой для достижения U 0.25W/(m2K). Минусы: Высокая сорбция при естественной эксплуатации, практически лидер среди утеплителей. Например для плотностей 35-100кг/м3 при относительной влажности воздуха (rh%): rh80% к-во влаги в материале 14-16%[1] 12-14%[2]по массе. rh97% к-во влаги в материале 20-24%[1] 34-38%[2]по массе. (1-протокол испытаний НДІБК, 2-испытания Литовцев) Среднемесячная влажность в Киеве зимой около 85%, в отдельные дни почти до 100% дотягивает. Что есть предпосылкой для естественного наличия в материале 5-24 литров влаги на м3. Высокая сорбция при испытании частичным погружением по EN. "Лидер" отрасли, адсорбирует влагу в 60раз больше чем EPS, и в 13 раз больше чем стекловата. Также "лидер" по времени высыхания, после данного теста, тоесть сохнет в разы дольше чем другие. Капиллярный подсос. Также "лидер", с отрывом более чем в 100раз от EPS, или 50 раз от каменной ваты. Поэтому с данным материалом вопросу герметичности пароизоляции, и гидроизоляции нужно уделять повышенное внимание. 6 1 Посилання на коментар Поділитися на інших сайтах More sharing options...
Сергей НСТ Опубліковано: 1 квітня 2020 Поділитись Опубліковано: 1 квітня 2020 История "эковаты" на форуме Строим Дом закончилась :D Посилання на коментар Поділитися на інших сайтах More sharing options...
uteplis Опубліковано: 2 квітня 2020 Поділитись Опубліковано: 2 квітня 2020 А есть данные, какую усадку этот Юнизол дает со временем? Плотность укладки регламентируется типом конструкции и назначением. По горизонтальным поверхностям 35кг/м.куб. При такой плотности усадка либо не наблюдается, либо минимальна. Когда же возникают вопросы по усадке, при несоблюдении плотности. На практике это выглядит как соблюдение высоты слоя утеплителя без соблюдения рекомендованной плотности. Максимально распушенный материал гораздо легче, а значит и даёт усадку. Говорить о её величине бессмысленно, слишком много факторов.Укладка утеплителя с увлажнением до плотности 45кг/м.куб усадку исключает полностью за счёт массы на единицу объёма и склеивания частиц между собой. Важно одно, следовать регламенту. Но это, я думаю, важно во всём. Добавлено через 14 минут Например для плотностей 35-100кг/м3 при относительной влажности воздуха (rh%): rh80% к-во влаги в материале 14-16%[1] 12-14%[2]по массе. rh97% к-во влаги в материале 20-24%[1] 34-38%[2]по массе. (1-протокол испытаний НДІБК, 2-испытания Литовцев) Среднемесячная влажность в Киеве зимой около 85%, в отдельные дни почти до 100% дотягивает. Что есть предпосылкой для естественного наличия в материале 5-24 литров влаги на м3. Укажите ссылку на источник. При выделении среднемесячной влажности зимой в Киеве, бралась так же среднемесячная температура воздуха? Когда идёт разговор не про абстрактные проценты, а про литры или кг., надо понимать количество воды в зимнем воздухе в абсолютных, а не относительных показателях. Но это не так эффективно для уха обывателя. Добавлено через 1 час 39 минут Высокая сорбция при естественной эксплуатации, практически лидер среди утеплителей. Например для плотностей 35-100кг/м3 при относительной влажности воздуха (rh%): rh80% к-во влаги в материале 14-16%[1] 12-14%[2]по массе. rh97% к-во влаги в материале 20-24%[1] 34-38%[2]по массе. (1-протокол испытаний НДІБК, 2-испытания Литовцев) Среднемесячная влажность в Киеве зимой около 85%, в отдельные дни почти до 100% дотягивает. Что есть предпосылкой для естественного наличия в материале 5-24 литров влаги на м3. Данные за зиму 2019-2020г. В Киеве. Ср. температура воздуха +1.87градС. Средняя относительная влажность воздуха 81,5%. Абсолютный показатель влажности воздуха при данных показателях 2,07гр./м.куб. Слой утеплителя,проветриваемый и закрытый ветрозащитной мембраной, да и не закрытый, но проветрииваемый, откуда показатели в 5-24л/м.куб. при 16% ? В холодном воздухе попросту нет столько воды. Добавлено через 40 секунд Высокая сорбция при испытании частичным погружением по EN. "Лидер" отрасли, адсорбирует влагу в 60раз больше чем EPS, и в 13 раз больше чем стекловата. Также "лидер" по времени высыхания, после данного теста, тоесть сохнет в разы дольше чем другие. Капиллярный подсос. Также "лидер", с отрывом более чем в 100раз от EPS, или 50 раз от каменной ваты. Про частичное погружение в воду, промолчу. Намокшая минеральная вата тоже не греет. Что до заключения про высокую капилярность, это правда, структура капилярная, и время высыхания в разы дольше, то это взаимоисключающие показатели. Высокая капилярность работает в обе стороны, если быстро намокнет то и быстро высохнет, иначе как-то однобоко получается. Добавлено через 33 секунды Поэтому с данным материалом вопросу герметичности пароизоляции, и гидроизоляции нужно уделять повышенное внимание. Миниатюры Диффузионная влага, «загоняемая» в утеплитель разностью давлений, гораздо более вероятно навредит утеплителю, чем сорбционная. При этом по протоколу испытаний, для разных категорий помещений по влажности, изменение теплопроводности в категории А и Б отличается на 7%. Для сравнения для базальтовой ваты, той же плотности(40кг/м.куб) разница составляет 9%., поэтому: «… с данным материалом вопросу герметичности пароизоляции, и гидроизоляции нужно уделять повышенное внимание.» Посилання на коментар Поділитися на інших сайтах More sharing options...
Dmode Опубліковано: 2 квітня 2020 Поділитись Опубліковано: 2 квітня 2020 (змінено) Укажите ссылку на источник. Серьезно? Вы просите найти Вам протокол испытаний НДІБК по применяемому Вами материалу? Вот данные испытаний литовцев, в сравнении с данными финнов. www.researchgate.net/publication/254221519_Thermal_technical_properties_of_ecocotton кг., надо понимать количество воды в зимнем воздухе в абсолютных, а не относительных показателях. Но это не так эффективно для уха обывателя. И что, как Ваше "надо понимать" влияет на сорбцию? Это робкая попытка предположить что она уменьшится со снижением температуры? Вот графический пример из старого канадского ресерча именно на эту тему, по другому материалу, но здесь важно показать принцип зависимости собрции от температуры. При равной относительной влажности, со снижением температуры сорбция не снижается, а несколько увеличивается. Вот еще данные на тему сорбции дерева, это уже ближе к целюллозе, которые демонстрируют, что сорбция древесины при понижении температуры в диапазоне от +43С до -1С, увеличивается на 8-13%. Змінено 2 квітня 2020 користувачем Dmode 2 Посилання на коментар Поділитися на інших сайтах More sharing options...
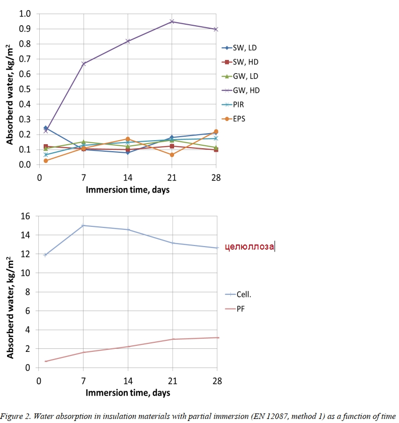
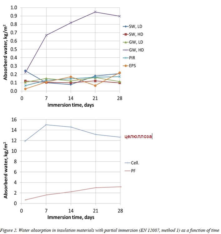
Dmode Опубліковано: 2 квітня 2020 Поділитись Опубліковано: 2 квітня 2020 Что до заключения про высокую капилярность, это правда, структура капилярная, и время высыхания в разы дольше, то это взаимоисключающие показатели. Высокая капилярность работает в обе стороны, если быстро намокнет то и быстро высохнет, иначе как-то однобоко получается.Ну звиняйте шо разочаровал Частичное погружение: Высыхание после частичного погружения: 1 Посилання на коментар Поділитися на інших сайтах More sharing options...
Сергей НСТ Опубліковано: 2 квітня 2020 Поділитись Опубліковано: 2 квітня 2020 Эковата еще трепыхается? :D Напрасно...., Dmode устроит ей помпезные похороны ) Посилання на коментар Поділитися на інших сайтах More sharing options...
Dmode Опубліковано: 2 квітня 2020 Поділитись Опубліковано: 2 квітня 2020 Эковата еще трепыхается? :D Напрасно...., Dmode устроит ей помпезные похороны ) Я не против Эковаты, с точки зрения "embodied energy" скорее даже за. Нормальный материал, со своими плюсами и минусами. Но если с ним накосячить с влагой, то сохнуть будет относительно долго. Если не косячить то все будет Ок. 4 Посилання на коментар Поділитися на інших сайтах More sharing options...
Сергей НСТ Опубліковано: 2 квітня 2020 Поділитись Опубліковано: 2 квітня 2020 (змінено) А я против категорически. Это перемолотая макулатура с краской далеко не самой экологичной + антисептики бор и т.д. + антипирены. В виду этого и большой усадки не вижу в ней никакого смысла, ни экономического, ни экологического. А в виду представленной Вами информации, так и подавно. Змінено 2 квітня 2020 користувачем Сергей НСТ 1 Посилання на коментар Поділитися на інших сайтах More sharing options...
uteplis Опубліковано: 3 квітня 2020 Поділитись Опубліковано: 3 квітня 2020 (змінено) Для начала, спасибо за развёрнутые ответы с использованием иностранных источников, к коим у вас есть доступ, потому, что именно их вы постоянно цитируете, ну и за потраченное время, тоже спасибо. При равной относительной влажности, со снижением температуры сорбция не снижается, а несколько увеличивается. Вот еще данные на тему сорбции дерева, это уже ближе к целюллозе, которые демонстрируют, что сорбция древесины при понижении температуры в диапазоне от +43С до -1С, увеличивается на 8-13%. Проценты это хорошо, они действительно действуют впечатляюще. Что по факту. Предположим, что все таблички, особенно с вашими подписями действительно имеют отношение к вопросу. Что даёт увеличение сорбционной способности при уменьшении температуры, если количество влаги в воздухе падает в разы. Сорбция есть, поглащать нечего. Открытая стропильная конструкция кровли нисколько не страдает от этого, а за холодный период даже и высыхает, т.е подвергается обратным процессам. Я хотел бы, чтобы вопрос поглощения влаги из воздуха, свойственный конкретному материалу, перешёл из спекулятивного разряда к сугубо практическому. То процентное соотношение относительной вл. воздуха , коим вы апелируете без ссылки на температуру при этом, бессмысленно. Чем это конкретно может навредить потребителю, кроме забивания мозгов , конечно? Добавлено через 3 минуты Сообщение от uteplis Что до заключения про высокую капилярность, это правда, структура капилярная, и время высыхания в разы дольше, то это взаимоисключающие показатели. Высокая капилярность работает в обе стороны, если быстро намокнет то и быстро высохнет, иначе как-то однобоко получается. Ну звиняйте шо разочаровал Да не разочаровали вы меня, а расстроили, своей неприкрытой заангажированностью. Я не "топлю" за эковату, как некоторые за ППУ, я за сбалансированный подход без манипуляций. Змінено 3 квітня 2020 користувачем uteplis Посилання на коментар Поділитися на інших сайтах More sharing options...
Dmode Опубліковано: 3 квітня 2020 Поділитись Опубліковано: 3 квітня 2020 иностранных источников .... потому, что именно их вы постоянно цитируете В первом сообщении о плюсах-минусах процитированы также данные отечественного НДІБК. Что даёт увеличение сорбционной способности при уменьшении температуры, если количество влаги в воздухе падает в разы. Сорбция есть, поглащать нечего. Вас не смущает, что в приведенной выше цитате касательно сорбции древесины (материалы красноярского университета, просто на инглише), при одном и том же значении относительной влажности воздуха (80%) при снижении температуры от +43С до -1С, к-во влаги в материале увеличилось на 13%? Ведь к-во влаги в воздухе в абсолютном отношении снизилось в разы с 48.1г/м3 до 3.6г/м3, что видимо натолкнуло Вас на предположение, что "поглащать нечего", а к-во влаги в материале мало того что не уменьшилось, а еще и увеличилось... Вижу, что Вам не понятно пока почему так происходит. Почитайте что-ли про сорбцию, и от чего она зависит. Есть и на "понятном" языке материалы, например справочник Лыкова из далеких 70-тых под названием ТЕПЛОМАССООБМЕН, там еще небольшое изменение сорбции от температуры отнесли к погрешности эксперимента, и также определили от какого параметра зависит сорбция - от относительной влажности воздуха. А уже современные работы по моделям сорбции уже учитывают разницу от температуры, и тоже ярко видно как при равной относительной влажности, со снижением температуры к-во влаги в материале растет. Открытая стропильная конструкция кровли нисколько не страдает от этог Если все сделано правильно то все будет Ок. Чем это конкретно может навредить потребителю, Понимание свойств материала должно как-то навредить? Я потребитель, выбираю тот материал, который по соотношению "цена / полезное действие / риск негативных последствий" находится на оптимальном для моей задачи уровне. Чем больше потребитель осведомлен о свойствах материалов, тем более обоснованным будет его выбор. ИМХО "дуракоустойчивость" целюллозы ниже чем большинство других утеплителей, так как она в ее естественном состоянии содержит в разы больше влаги , а также свойственна к ее существенному накоплению в случае косяков/форсмажоров с паро/гидро изоляцией. Следовательно порог начала образования условий избыточной влажности вокруг деревянных конструкций у этого утеплителя ниже, чем у минваты или пены. 4 Посилання на коментар Поділитися на інших сайтах More sharing options...
Oce@n Опубліковано: 3 квітня 2020 Поділитись Опубліковано: 3 квітня 2020 (змінено) А что по поводу пенопласта? Так как перед появлением диспута об эковате, рабочим вариантом был пенопласт (25 см) + стяжка Змінено 3 квітня 2020 користувачем Сергей НСТ Оверквотинг Посилання на коментар Поділитися на інших сайтах More sharing options...
Dmode Опубліковано: 3 квітня 2020 Поділитись Опубліковано: 3 квітня 2020 А что по поводу пенопласта? Так как перед появлением диспута об эковате, рабочим вариантом был пенопласт (25 см) + стяжкаВполне вариант. Но я не знаю Ваших приоритетов. Сами хотите делать или людей нанимать. Важен бюджет или не очень. Для себя делаете или на продажу. Долго ли там жить собираетесь. Какой уровень остального утепления. Стяжка сверху может успокоить тревогу по поводу горючести, если она есть. Если тревога не беспокоит, то предложенный Тансссом вариант накрыть сверху фанерой, либо просто постелить доски, вообще супер бюджетно получится. В таком случае все работы можно выполнить собственноручно. И я бы на Вашем месте в случае стяжки делал 40см слой пенопласта, так как потом добавить под нее не получится. Если накрывать деревом, то делайте слой от 25см, потом можно в любой момент добавить если захотите. 1 Посилання на коментар Поділитися на інших сайтах More sharing options...
Oce@n Опубліковано: 4 квітня 2020 Поділитись Опубліковано: 4 квітня 2020 Сами хотите делать или людей нанимать. Сначала хотел сам, но чем больше узнавал, тем больше понимал, что нанимать. Я это понимал как сделать минимальную обрешетку, между ней вату, сверху доски/осб плиты. Но тут все правильно сказали, геморно это, дорого, да и не оч пожаробезопастно наверное Важен бюджет или не очень. Важен, очень важен. Но опасения по поводу горючести есть. Сверзу делать незакрытый ппс боюсь. Когда думал, что сделаю сам, думал о минвате роквул 300 мм. Для себя делаете или на продажу. Для себя Долго ли там жить собираетесь. Собираемся долго Какой уровень остального утепления. Стены 2нф, утеплены минватой 100 мм Перекрытия планируем утеплять 80 мм ппс Посилання на коментар Поділитися на інших сайтах More sharing options...
мастерок Опубліковано: 5 квітня 2020 Поділитись Опубліковано: 5 квітня 2020 Вася, засвети девайс в боевом положении плз. Фото лично для Андрея,как я прямо в эту минуту таскаю бетон. 3 Посилання на коментар Поділитися на інших сайтах More sharing options...
tansss Опубліковано: 5 квітня 2020 Поділитись Опубліковано: 5 квітня 2020 Фото лично для Андрея,как я прямо в эту минуту таскаю бетон. Вася, вопрос чисто практический. Твоё мнение? Проще и быстрее и парням легче: Вар.1 Тельфер Вар.2 Трап из досок Объём примерно 3-4+ куба/день? Мы обсуждали с парнями... так пока и не решили... Но если наколхозить доп поворотные дела то можно и пиломатериал для кровли и ибалки тоже поднимать... Смотрел шо сам тельфер шото около 100 бакинских. Кароче - стоящая весч, ждать минуту на подъём 2х вёдер, или "хай буде"? Посилання на коментар Поділитися на інших сайтах More sharing options...
мастерок Опубліковано: 5 квітня 2020 Поділитись Опубліковано: 5 квітня 2020 Конечно с трапом лучше,хотя 3-4 куба в день тельфером таскаются нормально.Но к тельферу привязанны минимум 2,а лучше три,человека.К примеру сейчас один подносит вёдра и ципляет,я на кнопке,и ещё один боец несёт по этажу под правило.Но трап надо делать если работы много,мне же залить 2 этаж или чердак это максимум 2 дня,нет смысла тратить время и деньги если кран балка цепляется в любом месте аж за пол часа,да и трап один хрен надо будет разбирать,т.к. первый этаж заливаю завтра. 1 Посилання на коментар Поділитися на інших сайтах More sharing options...
Woolfer_a Опубліковано: 6 квітня 2020 Поділитись Опубліковано: 6 квітня 2020 Интересная тема, у самого дом с монолитным перекрытием между этажом и холодным чердаком. Только в дополнение еще чердак низкий. Всё чешу репу, как это дело утеплять. Последним рабочим вариантом были лаги из досок "на ребро" и засыпанная эковата. В эковате нравится отсутствие пустот и "многоразовость", возможность раскопать и пересыпать совком для доступа к какому-то месту чердака. Пароизоляцию планировал делать со стороны помещения, то есть под плитой перекрытия, а ветроизоляцию либо вообще не делать, либо применить фанеру или ДВП сверху на лаги. Ещё был вариант ПСБ, но он идеально не уложится т.к. перекрытие залито не идеально по плоскости, придётся ложить на пену. А пена подразумевает неразборную конструкцию. Вата не нравится своей пылью, чердак малюсенький, дышать там будет опасно. Посилання на коментар Поділитися на інших сайтах More sharing options...
#roofinspector Опубліковано: 6 квітня 2020 Поділитись Опубліковано: 6 квітня 2020 Интересная тема, у самого дом с монолитным перекрытием между этажом и холодным чердаком. Только в дополнение еще чердак низкий. Всё чешу репу, как это дело утеплять. Последним рабочим вариантом были лаги из досок "на ребро" и засыпанная эковата. В эковате нравится отсутствие пустот и "многоразовость", возможность раскопать и пересыпать совком для доступа к какому-то месту чердака. Пароизоляцию планировал делать со стороны помещения, то есть под плитой перекрытия, а ветроизоляцию либо вообще не делать, либо применить фанеру или ДВП сверху на лаги. Фанеру сверху нельзя. Наружный слой должен быть максимально "дышащим". А вот если у вас монолитное перекрытие, то оно само по себе является весьма хорошим барьером для пара. Можно и не заморачиваться пароизоляцией отдельной 1 Посилання на коментар Поділитися на інших сайтах More sharing options...
Woolfer_a Опубліковано: 6 квітня 2020 Поділитись Опубліковано: 6 квітня 2020 Спасибо. Перекрытие- керамзитобетон. Дом дачный, строился во времена СССР, когда недостаток утепления без проблем компенсировали добавлением отопления. Чердак вентилируемый с 2-скатной крышей. Высота на уровне конька ~1,2м. Если сейчас по чердаку можно передвигаться в полуприседе, то добавив 20-30 см утеплителя, останется только ползать на четвереньках. Я уже пробовал освятить свою тему на форуме, нарисовал рисунок: www.stroimdom.com.ua/forum/showpost.php?p=4948281&postcount=17 Если можно, покритикуйте применение эковаты. Реальный-ли вариант или думать над другими вариантами? Посилання на коментар Поділитися на інших сайтах More sharing options...
#roofinspector Опубліковано: 11 квітня 2020 Поділитись Опубліковано: 11 квітня 2020 С нашими ГОСТами, эппс с реальной горючестью Г4, может спокойно получить Г1. Который дымит и горит, и не просто горит, а с образованием горящих капель. [ATTACH]687505[/ATTACH] [ATTACH]687506[/ATTACH] [ATTACH]687507[/ATTACH] Примерно вот так: m.facebook.com/groups/407546670062986?view=permalink&id=669420393875611 Посилання на коментар Поділитися на інших сайтах More sharing options...
yuk Опубліковано: 15 квітня 2020 Поділитись Опубліковано: 15 квітня 2020 Если сейчас по чердаку можно передвигаться в полуприседе, то добавив 20-30 см утеплителя, останется только ползать на четвереньках. Если боритесь за место, то примените напыляемую жесткую полиуретановую пену. Если сравнивать реальную рабочую теплопроводность с эковатой, то разница будет в два раза. Посилання на коментар Поділитися на інших сайтах More sharing options...
Woolfer_a Опубліковано: 16 квітня 2020 Поділитись Опубліковано: 16 квітня 2020 Если боритесь за место, то примените напыляемую жесткую полиуретановую пену. Если сравнивать реальную рабочую теплопроводность с эковатой, то разница будет в два раза. Спасибо, её тоже рассматривал. Но для меня недостаток в невозможности локально демонтировать и собрать назад для доступа к узким местам (мало-ли что в будущем потребуется переделывать или чинить). Если с ватой, эковатой вообще без проблем, с ПСБ хуже, но тоже всё возможно, то полиуретан локально не заменить. Почему нету что-то типа мелкого керамзита? что-б и не горело, и звери не жили в нем, и не плесневело в случае проблем ??? Посилання на коментар Поділитися на інших сайтах More sharing options...
S_Vladimir_79 Опубліковано: 16 квітня 2020 Поділитись Опубліковано: 16 квітня 2020 Почему нету что-то типа мелкого керамзита? что-б и не горело, и звери не жили в нем, и не плесневело в случае проблем ??? Перлит похожий есть, но тяжелый будет. Посилання на коментар Поділитися на інших сайтах More sharing options...
Рекомендовані повідомлення
Створіть акаунт або увійдіть у нього для коментування
Ви маєте бути користувачем, щоб залишити коментар
Створити акаунт
Зареєструйтеся для отримання акаунта. Це просто!
Зареєструвати акаунтУвійти
Вже зареєстровані? Увійдіть тут.
Увійти зараз