SON Опубліковано: 31 березня 2017 Поділитись Опубліковано: 31 березня 2017 Тем более если договор на 1,3 кВт то как можно включать 2 кВт? По договору низзя. У электриков "в конторе" тож не дураки сидят, жопа со всех сторон прикрыта. :D 1 Посилання на коментар Поділитися на інших сайтах More sharing options...
Игорь&Ира Опубліковано: 31 березня 2017 Автор Поділитись Опубліковано: 31 березня 2017 Любые сети считают с учетом коэффициента одновременного пользования потребителями. Есть такое дело: Посилання на коментар Поділитися на інших сайтах More sharing options...
AndyAntonov Опубліковано: 31 березня 2017 Поділитись Опубліковано: 31 березня 2017 Если это так - то проблем нет.Вы не улавливаете юмора ситуации. Договора — заключённые. А по ним: всем вменяют присоединённую мощность 1,6 кВт, по проекту 196х лохматого года! (…! найдите мне чайник или плиту меньше 2кВт! Ещё и искать устанешь!) Сами АВ никто не проверяет (я себе поставил АВ 16А только из жалости к весьма ветхой проводке, чтоб не напожарить)! Ну, и длину линии от ТП до меня 1,5км, с кучей скруток (до 6 на пролёт длиной 35м!) не забываем. В итоге — межфазное КЗ на линии не может вызвать сработку АВ на ТП! У меня 130 и меньше вольт в розетке днём и 250+В ночью. Но всё соответствует договорам! Как Вы думаете, при таких раскладах я пойду заключать с ними договор хотя бы на 4 кВт (плита плюс чайник), или пусть они долбутся в очко дальше? Вот я ни разу не уверен, что доплатив им за 2,5 дополнительных киловатта, я избавлюсь от двухкратного(!) разброса напряжения в течении суток. Так «зачем платить больше?»© 3 Посилання на коментар Поділитися на інших сайтах More sharing options...
Diver Опубліковано: 31 березня 2017 Поділитись Опубліковано: 31 березня 2017 Вот я ни разу не уверен, что доплатив им за 2,5 дополнительных киловатта, я избавлюсь от двухкратного(!) разброса напряжения в течении суток. Так «зачем платить больше?»© Никак, только замена линии от ТП и замена самой ТП на более мощную. Посилання на коментар Поділитися на інших сайтах More sharing options...
AndyAntonov Опубліковано: 31 березня 2017 Поділитись Опубліковано: 31 березня 2017 Никак, только замена линии от ТП и замена самой ТП на более мощную.И всё это за 1,6*1,2*2,5=4,8кгрн.? «Не верю!»© А учитывая, что последние пару лет я там бываю лишь эпизодически… АОТ: газ я там ещё думал подключать. «Шоп було.»© Теперь — «не дождётесь!» © Посилання на коментар Поділитися на інших сайтах More sharing options...
iks Опубліковано: 31 березня 2017 Поділитись Опубліковано: 31 березня 2017 Ляшко инициирует отставку НКРЭКП из-за счетчиков Сегодня Прилуцкий городской совет по инициативе нашей фракции принял обращение к Президенту Украины, Кабинету Министров, Председателю Верховной Рады, председателю НКРЭКП с требованием немедленно отменить решение НКРЭКП, которым введено ежемесячную абонплату за подключение к системе газоснабжения. Об этом на своей странице в фейсбуке написал Олег Ляшко. "Олигархи, перейдя границу здравого смысла, накинули на украинцев очередную тарифную петлю в виде абонплаты за газ. Так, с 1 апреля потребители будут вынуждены платить ежемесячно абонентскую плату за подключение к системе газоснабжения независимо от фактического объема потребления газа. В угоду олигархам Фирташу, Левочкину, Бойко эту плату ввела Национальная комиссия, осуществляющая государственное регулирование в сферах энергетики и комуслуг. Это решение больно ударит прежде всего по простым гражданам, которые и так экономно потребляют газ", - отметил нардеп. По его словам, больше всего пострадают те абоненты, которые сезонно пользуются газом - например, используют его только летом на даче. Также пострадают те люди, которые мало потребляют газа, не имеют счетчиков и имеют большое количество прописанных на своей жилплощади. У них плата может вырасти в полтора, а то и более раз. При этом субсидии на оплату этих новых поборов не предусмотрены. "Олигархи, поняв, что в связи с подорожанием голубого топлива люди вынуждены экономить, не захотели терять сверхприбыль и придумали еще один ежемесячный вымогательский платеж. Фактически, это свидетельствует о том, что правительство Гройсмана-Порошенко в который раз стало на защиту не украинского народа, а кучки олигархов, ведь подсчитано, что в первую очередь от введения абонплаты за газ выиграют владельцы газораспределительных компаний. 70% этого бизнеса контролирует олигарх Фирташ с партнерами и компании российских олигархов. Только в 2017 году от абонплаты облгазы получат дополнительно около 24 миллиардов гривен", - подчеркнул Ляшко. Он добавил, что уже дал команду своим фракциям по всей Украине созвать внеочередные сессии с требованием отменить грабительское решение НКРЭКП. А в понедельник, 3 апреля, я подаю в суд соответствующий иск. "Также на следующей пленарной неделе мы будем инициировать в парламенте роспуск нынешнего коррумпированного состава НКРЭКП и избрание нового на прозрачном конкурсе. Мы не позволим банде олигархов при содействии власти цинично грабить украинцев!", - заключил Ляшко. vesti-ukr.com/strana/232417-ljashko-initsiiruet-otstavku-nkrekp-iz-za-schetchikov 3 Посилання на коментар Поділитися на інших сайтах More sharing options...
MaksymS Опубліковано: 31 березня 2017 Поділитись Опубліковано: 31 березня 2017 И источник - Вести... Не верю я этой путинской подстилке. Ничего Ляшко не сделает на самом деле. Никто ему не даст распустить ручное НКРЭ. 1 Посилання на коментар Поділитися на інших сайтах More sharing options...
iks Опубліковано: 31 березня 2017 Поділитись Опубліковано: 31 березня 2017 Да щаз. Мне тут Укртелеком линию «отремонтировал», в итоге у меня чужой номер. День, два оставляю заявки на ремонт. В 2013 деду пришло письмо с долгом от Укртелекома на 3000 грн (старыми деньгами) или еще больше. Дед в суд. Суд решение "т.к. у вас телефона нет и никогда за все 100 лет что вы живете не было все ОК". Добавлено через 2 минуты И источник - Вести... Не верю я этой путинской подстилке. Ничего Ляшко не сделает на самом деле. Никто ему не даст распустить ручное НКРЭ. С видео www.segodnya.ua/economics/enews/lyashko-cherez-sud-trebuet-otmenit-abonplatu-za-gazovyy-schetchik-1008469.html Лидер Радикальной партии требует отменить абонплату за газовый счетчик, введенную национальной комиссией по регулированию в сфере энергетики с 1 апреля. Иск подал против главы Нацкомиссии по энергетике Дмитрия Вовка. Лидер Радикальной партии возмущен тем, что к высоким тарифам на газ добавится еще один платеж – в сотню гривен. "Получается так, что двойная оплата, в стоимости газа сидит стоимость эксплуатации газовых сетей и еще отдельно абонплата за пользование газовыми сетями. Ну это афера чистой воды. Мы сейчас обратились в суд, чтобы обжаловать решение и мы будем добиваться его отмены, чтобы с украинцев не драли лишние деньги", – сказал он. 1 Посилання на коментар Поділитися на інших сайтах More sharing options...
MaksymS Опубліковано: 31 березня 2017 Поділитись Опубліковано: 31 березня 2017 Газетенка позавчера... Еще лучше. Они до сих пор не выучили где в Киеве Подол, а где Виноградарь. А вы им верите. Ужас. ИМХО не проголосуют все-равно, так что газетенка будет опять соврамши. Посилання на коментар Поділитися на інших сайтах More sharing options...
Viorel Опубліковано: 1 квітня 2017 Поділитись Опубліковано: 1 квітня 2017 Ребят, с абонплатой ясно, а тариф за потребленный газ уменьшается или нет? Посилання на коментар Поділитися на інших сайтах More sharing options...
Игорь&Ира Опубліковано: 1 квітня 2017 Автор Поділитись Опубліковано: 1 квітня 2017 Ребят, с абонплатой ясно, а тариф за потребленный газ уменьшается или нет? Уменьшается. Но тариф - величина переменная и завтра вам его повысят под любым предлогом, вернув свое. Про 9000 грн. за 1000 кубов слышали? Посилання на коментар Поділитися на інших сайтах More sharing options...
Viorel Опубліковано: 1 квітня 2017 Поділитись Опубліковано: 1 квітня 2017 Уменьшается. Уменьшится с 6,99 грн за куб, до 5 грн за куб или 6,00 грн за куб? З.Ы. Это сосед спрашивает. У меня нет газа. Посилання на коментар Поділитися на інших сайтах More sharing options...
Игорь&Ира Опубліковано: 1 квітня 2017 Автор Поділитись Опубліковано: 1 квітня 2017 Уменьшится с 6,99 грн за куб, до 5 грн за куб или 6,00 грн за куб? 6 грн. - это с НДС. 1 Посилання на коментар Поділитися на інших сайтах More sharing options...
Игорь&Ира Опубліковано: 1 квітня 2017 Автор Поділитись Опубліковано: 1 квітня 2017 ВЕРХОВНА РАДА УКРАЇНИ Відділ з питань звернень громадян Апарату Верховної Ради України Керівник Відділу – АДАМОВИЧ Наталія Миколаївна (044) 255-41-93 (044) 255-40-08 e-mail:v_zvernen@rada.gov.ua Довідка приймальні (044) 255-42-46 Усні звернення громадян (044) 255-43-12 ВРУ: vzvernen.rada.gov.ua/vzvernen/control/uk/publish/article?art_id=45100&cat_id=44748 ==================================================================================================== КАБІНЕТ МІНІСТРІВ УКРАЇНИ ЕЛЕКТРОННІ ЗВЕРНЕННЯ надсилаються ВИКЛЮЧНО через спеціальну форму реєстрації в системі «Електронне звернення». ПОДАТИ ЕЛЕКТРОННЕ ЗВЕРНЕННЯ Телефонна довідка по Секретаріату Кабінету Міністрів України: (044) 256-63-33. Поштова адреса: 01008, м. Київ, вул. Грушевського,12/2, Кабінет Міністрів України. Особистий прийом громадян у Кабінеті Міністрів України проводиться щоденно, крім святкових та вихідних днів, з 10-00 до 17-00, у суботу з 10-00 до 13-00 за адресою: м. Київ, провул. Музейний,12. КМУ: www.kmu.gov.ua/control/uk/publish/article?art_id=243604156&cat_id=243604112 ==================================================================================================== АНТИМОНОПОЛЬНИЙ КОМІТЕТ УКРАЇНИ Адpеса: 03035, м. Київ, вул. Митрополита Василя Липківського, 45 телефон: (044) 251-62-62 факс: (044) 520-03-25 канцелярія: (044) 251-62-40 www.amc.gov.ua e-mail: slg@amcu.gov.ua Для звернень громадян e-mail: zvr@amcu.gov.ua Форма для звернень громадян, що надходять телефонним зв’язком або на електронну пошту органів Антимонопольногокомітету України Номер гарячої телефонної лінії для громадян (фізичних осіб) (044-594-64-10) Графік проведення телефонної лінії державними уповноваженими Комітету та керівниками структурних підрозділів центрального апарату Комітету з громадянами (фізичними особами) АМКУ: www.amc.gov.ua/amku/control/main/uk/publish/article/87556 ==================================================================================================== НАЦІОНАЛЬНА КОМІСІЯ, ЩО ЗДІЙСНЮЄ ДЕРЖАВНЕ РЕГУЛЮВАННЯ У СФЕРАХ ЕНЕРГЕТИКИ ТА КОМУНАЛЬНИХ ПОСЛУГ (НКРЕКП) Адреса: 03057 м. Київ, вул. Смоленська, 19 веб-сайт: www.nerc.gov.ua e-mail: box@nerc.gov.ua Сторінки НКРЕКП у соціальних мережах: Facebook - www.facebook.com/nerc.gov.ua; Twitter - www.twitter.com/NKREKP; YouTube - www.youtube.com/channel/UCR-iJgGoHV1MjZ43dOzidJA Slideshare (презентації) - www.slideshare.net/NKREKP Голова Комісії: тел.: (044) 277-30-01, 204-70-00; 60-00 (с) Канцелярія: тел.: (044) 204-48-27; факс: 277-30-47 Запити на інформацію: e-mail: public.info@nerc.gov.ua тел.: (044) 204-48-27, 204-48-94; факс: (044) 277-30-47 Електронне звернення (письмове звернення, надіслане з використанням мережі Інтернет або засобів електронного зв'язку): e-mail: pr@nerc.gov.ua факс: (044) 277-30-47 Щодо запису на особистий прийом громадян: тел. для довідок: (044) 204-48-94, 204-70-27 Акредитація представників ЗМІ: тел.: (044) 204-70-54 НКРЕКП: www.nerc.gov.ua/?id=6911 2 Посилання на коментар Поділитися на інших сайтах More sharing options...
SON Опубліковано: 1 квітня 2017 Поділитись Опубліковано: 1 квітня 2017 ....правительство Гройсмана-Порошенко в который раз стало на защиту не украинского народа, а кучки олигархов, То ли еще будет. Тырить из бюджета скоро станет нечего, а жить красиво ой как хоцца. Они посчитали, что на руках у населения еще имеется около 140 ярдов долларов. Министр соц. политики Рева дал понять, шо нехрен народу плакаться, будем вытрушивать все по полной, тарифами, налогами и пр. Думаю абонка за газ это не последнее новшество. 1 Посилання на коментар Поділитися на інших сайтах More sharing options...
Игорь&Ира Опубліковано: 1 квітня 2017 Автор Поділитись Опубліковано: 1 квітня 2017 Урядова «гаряча лінія» - 1545 Урядова «гаряча лінія» – механізм для взаємодії Уряду з громадянами, що дозволяє оперативно вирішувати проблемні питання, які порушуються у зверненнях громадян, а також удосконалювати роботу органів виконавчої влади з урахуванням громадської думки. Звернення приймаються фахівцями Урядового контактного центру за допомогою засобів телефонного та електронного зв’язку і надсилаються органам виконавчої влади відповідно до компетенції, Секретаріату Кабінету Міністрів для вирішення порушених у них питань по суті, надання відповідних роз’яснень. Урядова «гаряча лінія» 1545 працює цілодобово Дзвінки на урядову «гарячу лінію» 1545 з мережі фіксованого зв’язку Укртелекому, телефонів мобільних операторів Київстар, Vodafone Україна, Лайфселл для заявників безкоштовні. Для громадян України, які перебувають за кордоном, номер телефону урядової «гарячої лінії» +38 (044) 284-19-15 (оплата за тарифами відповідного оператора зв’язку). Працює «гаряча лінія» для підприємців 0-800-503-045. (Режим роботи: у робочі дні з 9:00 до 18:00, у п’ятницю до 16:45. У вихідні, святкові дні та у неробочий час дзвінки на «гарячу лінію» для підприємців за бажанням заявника переадресовуються на урядову «гарячу лінію»). Громадяни також мають можливість подати електронне звернення до органів виконавчої влади через веб-сайт Урядового контактного центру: www.ukc.gov.ua Подати ЕЛЕКТРОННЕ ЗВЕРНЕННЯ На базі Урядового контактного центру цілодобово працюють спеціалізовані «гарячі лінії»: - з питань інформування громадян України, які переселяються із тимчасово окупованої території Автономної Республіки Крим і міста Севастополь та регіонів проведення антитерористичної операції в інші регіони України; - з питань корупційних діянь у центральних і місцевих органах виконавчої влади, державних і комунальних установах. Будь ласка, звертайтесь на вищезазначені спеціалізовані «гарячі лінії» за номерами телефонів 1545, +38 (044) 284-19-15 (для громадян України, які перебувають за кордоном), а також через веб-сайт Урядового контактного центру www.ukc.gov.ua www.kmu.gov.ua/control/uk/publish/article?showHidden=1&art_id=244209261&cat_id=244209257 Посилання на коментар Поділитися на інших сайтах More sharing options...
MaksymS Опубліковано: 1 квітня 2017 Поділитись Опубліковано: 1 квітня 2017 Уменьшится с 6,99 грн за куб, до 5 грн за куб или 6,00 грн за куб? С 6,88 до 6,18 уменьшится тариф. Посилання на коментар Поділитися на інших сайтах More sharing options...
БеLка Опубліковано: 1 квітня 2017 Поділитись Опубліковано: 1 квітня 2017 www.5.ua/suspilstvo/vidsohodni-ukraintsi-splachuvatymut-za-haz-dvoma-platizhkamy-142127.html "Безпосередньо газ коштуватиме 6 тисяч гривень, тобто він фактично здешевшає". Юмор первоапрельский. 1 Посилання на коментар Поділитися на інших сайтах More sharing options...
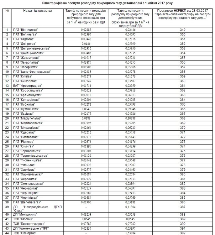
Игорь&Ира Опубліковано: 1 квітня 2017 Автор Поділитись Опубліковано: 1 квітня 2017 Тарифи по розподілу газу: Посилання на коментар Поділитися на інших сайтах More sharing options...
SON Опубліковано: 1 квітня 2017 Поділитись Опубліковано: 1 квітня 2017 www.5.ua/suspilstvo/vidsohodni-ukraintsi-splachuvatymut-za-haz-dvoma-platizhkamy-142127.html Нагадаємо, прем'єр-міністр України обіцяє перегляд абонплати за газ у разі зростання суми в платіжках українців. Т.е фактически ее никто не считал, высосали цифру из пальца, и будут посмотреть схавает пипл или нет. :D Посилання на коментар Поділитися на інших сайтах More sharing options...
БеLка Опубліковано: 1 квітня 2017 Поділитись Опубліковано: 1 квітня 2017 Нагадаємо, прем'єр-міністр України обіцяє перегляд абонплати за газ у разі зростання суми в платіжках українців. Т.е фактически ее никто не считал, высосали цифру из пальца, и будут посмотреть схавает пипл или нет. :D Вот и обидно что схавают, а скорее всего просто перестанут платить. Мало вериться что где то в Николаевской области или Херсонской, обычная семья будет каждый месяц платить по 370гр. когда и так ели - ели концы с концами сводят. Посилання на коментар Поділитися на інших сайтах More sharing options...
MaksymS Опубліковано: 1 квітня 2017 Поділитись Опубліковано: 1 квітня 2017 Нагадаємо, прем'єр-міністр України обіцяє перегляд абонплати за газ у разі зростання суми в платіжках українців. Читайте выше новость от 5 канала - будет 2 платежки. Одна уменьшится! А о второй забудут. И ничего пересчитывать не будут, соответственно. Т.е фактически ее никто не считал, высосали цифру из пальца Та не, её таки считали. Расчет есть в файлике на второй странице темы. Но там, например, сидит такая статья как недополученная сверхприбыль в предыдущие годы. Вот недополученную сверхприбыль раньше хотят дополучить сейчас... Посилання на коментар Поділитися на інших сайтах More sharing options...
Игорь&Ира Опубліковано: 1 квітня 2017 Автор Поділитись Опубліковано: 1 квітня 2017 Т.е фактически ее никто не считал, высосали цифру из пальца, и будут посмотреть схавает пипл или нет. Формально, НКРЭКУ независимый орган и КМУ в его деятельнось не вмешивается. КМУ может только просить НКРЭКУ пересмотреть, уменьшить, ... Не исключено, что это было сделано по принципу шапки Мономаха. 1 Посилання на коментар Поділитися на інших сайтах More sharing options...
Игорь&Ира Опубліковано: 1 квітня 2017 Автор Поділитись Опубліковано: 1 квітня 2017 Напомню: потребление газа в Украине — порядка 30-40 ярдов кубов в год, «присоединённая мощность», с которой собираются аскать абонплату — 900(!) ярдов в год, т.е в 30(!) раз больше. За результатами проведеного аналізу було здійснено відповідні розрахунки тарифів на послуги розподілу природного газу за елементами структури тарифу: Величини приєднаної потужності розподілу природного газу газорозподільних підприємств Відповідно до Методики тариф на послуги розподілу природного газу розраховується з урахуванням загальної планової річної приєднаної потужності розподілу природного газу ліцензіата, яка визначається як річна приєднана потужність розподілу природного газу побутових та небутових споживачів ліцензіата. Так, при розрахунку тарифів була врахована загальна планована річна приєднана потужність розподілу природного газу сумарно по всім газорозподільним підприємствам в розмірі 901 074 345 тис. м3 на рік, у тому числі побутових споживачів – 609 144 751 тис. м3 на рік, непобутових споживачів – 291 929 593,83 тис. м3 на рік. Посилання на коментар Поділитися на інших сайтах More sharing options...
Diver Опубліковано: 1 квітня 2017 Поділитись Опубліковано: 1 квітня 2017 Нагадаємо, прем'єр-міністр України обіцяє перегляд абонплати за газ у разі зростання суми в платіжках українців. а слабо пообещать уйти в отставку? Посилання на коментар Поділитися на інших сайтах More sharing options...
Рекомендовані повідомлення
Створіть акаунт або увійдіть у нього для коментування
Ви маєте бути користувачем, щоб залишити коментар
Створити акаунт
Зареєструйтеся для отримання акаунта. Це просто!
Зареєструвати акаунтУвійти
Вже зареєстровані? Увійдіть тут.
Увійти зараз