Dmode Опубліковано: 7 серпня 2023 Поділитись Опубліковано: 7 серпня 2023 В даташитах на ліфери вказують що зберігати бажано на SOC близькій до 50%... Яким є рівень деградації ліферів які постійно стоять в системі ДБЖ або сонячного інвертора з підтримкою 100% заряду? 3 Посилання на коментар Поділитися на інших сайтах More sharing options...
yur43 Опубліковано: 7 серпня 2023 Поділитись Опубліковано: 7 серпня 2023 1 година тому, Dmode сказав: Яким є рівень деградації ліферів які постійно стоять в системі ДБЖ або сонячного інвертора з підтримкою 100% заряду? пагубним Посилання на коментар Поділитися на інших сайтах More sharing options...
Dmode Опубліковано: 7 серпня 2023 Автор Поділитись Опубліковано: 7 серпня 2023 Только что, yur43 сказал: пагубним та це ясно, цікаво як це виглядає в процентах втрати ємності на рік Посилання на коментар Поділитися на інших сайтах More sharing options...
yur43 Опубліковано: 7 серпня 2023 Поділитись Опубліковано: 7 серпня 2023 Відсотки то таке, а як надує банки 1 Посилання на коментар Поділитися на інших сайтах More sharing options...
Dmode Опубліковано: 7 серпня 2023 Автор Поділитись Опубліковано: 7 серпня 2023 Только что, yur43 сказал: Відсотки то таке Яке то таке? В даташитах вказують кількість циклів при якій втрачаються 20%. А скільки втрачається коли вона просто стоїть в системі на підтримці, можливо вона за кілька років втратить ті ж 20% або більше, це ж важливий параметр який чомусь ніде не вказаний, і не бачив щоб таке обговорювалось десь... 4 минуты назад, yur43 сказал: а як надує банки А повинно? 1 Посилання на коментар Поділитися на інших сайтах More sharing options...
yur43 Опубліковано: 7 серпня 2023 Поділитись Опубліковано: 7 серпня 2023 (змінено) я теж читав про значну деградацію літію, вона пропорційна часу знаходження і стану перезаряду. Собі в сонячній станції налаштував зберігання при 60%, коли дівається світло - заряжаємо до 100%. Якщо Ви хочете цифри, треба до електромобільщиків читати. Змінено 7 серпня 2023 користувачем yur43 1 Посилання на коментар Поділитися на інших сайтах More sharing options...
Фрай Опубліковано: 7 серпня 2023 Поділитись Опубліковано: 7 серпня 2023 6 минут назад, yur43 сказал: Собі в сонячній станції налаштував зберігання при 60%, коли дівається світло - заряжаємо до 100%. Чим заряджаємо? Посилання на коментар Поділитися на інших сайтах More sharing options...
yur43 Опубліковано: 7 серпня 2023 Поділитись Опубліковано: 7 серпня 2023 8 хвилин тому, Фрай сказав: Чим заряджаємо? Сонце, генератор Посилання на коментар Поділитися на інших сайтах More sharing options...
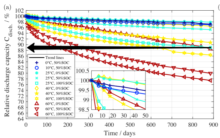
Dmode Опубліковано: 7 серпня 2023 Автор Поділитись Опубліковано: 7 серпня 2023 (змінено) Ось знайшов дослідження німців. Спойлер Виходить що за 900 днів при 100% SOC мінус 11% ємності. 50% SOC мінус 5% ємності. 0% SOC мінус 2% ємності. Цікаво що опір більше виріс при 50% SOC. Екстраполюючи: при 100% SOC +25C деградація 4.46% в рік. Тобто 20% втратяться за 4 з половиною років. при 50% SOC +25C деградація 2.03% в рік. Тобто 20% втратяться вже майже за 10 років. при 0% SOC +25C деградація 0.81% в рік. Тобто 20% втратяться вже майже за 25 років. Також судячи з графіків найменьшою деградація є при температурі 0-10С і при SOC0%. Змінено 7 серпня 2023 користувачем Dmode 11 Посилання на коментар Поділитися на інших сайтах More sharing options...
yur43 Опубліковано: 7 серпня 2023 Поділитись Опубліковано: 7 серпня 2023 (змінено) 14 годин тому, Dmode сказав: Також судячи з графіків найменьшою деградація є при температурі 0-10С і при SOC25%. треба геотермальне охолодження , або зберігання в холодильнику. І ні в коєм случає не підключать ні до чого. Змінено 8 серпня 2023 користувачем yur43 1 1 1 Посилання на коментар Поділитися на інших сайтах More sharing options...
volomoto Опубліковано: 7 серпня 2023 Поділитись Опубліковано: 7 серпня 2023 А нема змісту в сонячній системі батарею постійно тримати зарядженою до 100%. Циклічність до певної глибини не пришвидшує старіння батареї, тому краще туди-сюди ганяти енергію і відповідно батарея ще й окупитись може. В мене батарея працює в такому режмі: За добу через батарею проходить десь 5-6 кВт•год, що дає 150 кВт•год в місяць: Прихований текст Для батареї в 20 кВт•год це 10 80% DoD циклів за місяць, або ж десь 100 циклів за рік. Навіть якщо батарея зможе видати всього 1000 циклів, то ресурсу вистачить на 10 років. Якщо батарея буде стояти в буфері, то також проживе десь стільки ж, тому краще її ганяти в розумних межах. 8 Посилання на коментар Поділитися на інших сайтах More sharing options...
mib Опубліковано: 7 серпня 2023 Поділитись Опубліковано: 7 серпня 2023 2 часа назад, volomoto сказал: А нема змісту в сонячній системі батарею постійно тримати зарядженою до 100%. Циклічність до певної глибини не пришвидшує старіння батареї, тому краще туди-сюди ганяти енергію і відповідно батарея ще й окупитись може. На diysolar форуме тоже пришли к такому мнению, многие циклируют каждый день как в автономке так и с подключением к сети, из старых кто отписался потеря емкости незначительная в рамках 20% @Dmodeвы же их не заряжаете до 3,65 каждый день а до 3,45 в теории это не полный разряд, ну и пока нет отключений можно понизить напряжение до 3,35-3,32 учитывая что у вас нет циклирования Кстати ячейки у мдс подорожаши, толи ажиотаж вернулся толи распродали партию 2 Посилання на коментар Поділитися на інших сайтах More sharing options...
volomoto Опубліковано: 8 серпня 2023 Поділитись Опубліковано: 8 серпня 2023 11 годин тому, mib сказав: На diysolar форуме тоже пришли к такому мнению, многие циклируют каждый день как в автономке так и с подключением к сети, из старых кто отписался потеря емкости незначительная в рамках 20% Та воно не могло бути по-іншому, бо я не сам це придумав, а прочитав в розумних людей Правда в моєму випадку хімія Li NMC і дивлюсь в дослідження про електрокари, але там не така великм різниця з LFP. Ще цікавий момент, що Li-ion акуми дуже добре переносять мікроцикли зі струмом менше 0.3С. 2 Посилання на коментар Поділитися на інших сайтах More sharing options...
Dmode Опубліковано: 8 серпня 2023 Автор Поділитись Опубліковано: 8 серпня 2023 10 часов назад, volomoto сказал: мікроцикли який цикл є мікро? Посилання на коментар Поділитися на інших сайтах More sharing options...
volomoto Опубліковано: 9 серпня 2023 Поділитись Опубліковано: 9 серпня 2023 12 годин тому, Dmode сказав: який цикл є мікро? 0.5-1% від ємності. Тут одне з досліджень: Impact of micro-cycles on the lifetime of lithium-ion batteries_ An experimental study.pdf 3 Посилання на коментар Поділитися на інших сайтах More sharing options...
vadym petrov Опубліковано: 28 вересня 2023 Поділитись Опубліковано: 28 вересня 2023 В 07.08.2023 в 20:53, volomoto сказал: А нема змісту в сонячній системі батарею постійно тримати зарядженою до 100%. Циклічність до певної глибини не пришвидшує старіння батареї, тому краще туди-сюди ганяти енергію і відповідно батарея ще й окупитись може. В мене батарея працює в такому режмі: За добу через батарею проходить десь 5-6 кВт•год, що дає 150 кВт•год в місяць: Показать контент Для батареї в 20 кВт•год це 10 80% DoD циклів за місяць, або ж десь 100 циклів за рік. Навіть якщо батарея зможе видати всього 1000 циклів, то ресурсу вистачить на 10 років. Якщо батарея буде стояти в буфері, то також проживе десь стільки ж, тому краще її ганяти в розумних межах. Чи можна таке зробити на Luxpower5000? бо в мене цілий день 100% тримає сонце, а під вечір вже саджаю АКБ до 50%(можна ж і до 15% кожень десь саджати ліфепо4?) а далі грід вмикається, або в 23.00 по розкладку до 7.00 Посилання на коментар Поділитися на інших сайтах More sharing options...
yur43 Опубліковано: 28 вересня 2023 Поділитись Опубліковано: 28 вересня 2023 18 хвилин тому, vadym petrov сказав: Чи можна таке зробити на Luxpower5000? бо в мене цілий день 100% тримає сонце, а під вечір вже саджаю АКБ до 50%(можна ж і до 15% кожень десь саджати ліфепо4?) а далі грід вмикається, або в 23.00 по розкладку до 7.00 ваші потреби мізерно малі порівняно з генерацією. Воно на зиму само поправиться, побачите генерацію 150 Вт від 5 кВт поля. Посилання на коментар Поділитися на інших сайтах More sharing options...
vadym petrov Опубліковано: 28 вересня 2023 Поділитись Опубліковано: 28 вересня 2023 6 минут назад, yur43 сказал: ваші потреби мізерно малі порівняно з генерацією. Воно на зиму само поправиться, побачите генерацію 150 Вт від 5 кВт поля. Так, але хотілося б влітку не вшатувати АКБ 100% триманням його заряду. Посилання на коментар Поділитися на інших сайтах More sharing options...
Фрай Опубліковано: 28 вересня 2023 Поділитись Опубліковано: 28 вересня 2023 А у мене таке питання, я зараз вдень при сонці працюю без мережі і болгаркою, і бетономішалкою і навіть бойлер вмикаю на 2 кВт, а чи не впливає це якось на ресурс батарейки? Бо вона в мене на 5кВт, а панелі всього на 3,2, більше не влізло на дах. Посилання на коментар Поділитися на інших сайтах More sharing options...
sallly Опубліковано: 4 жовтня 2023 Поділитись Опубліковано: 4 жовтня 2023 28.09.2023 в 21:29, Фрай сказав: А у мене таке питання, я зараз вдень при сонці працюю без мережі і болгаркою, і бетономішалкою і навіть бойлер вмикаю на 2 кВт, а чи не впливає це якось на ресурс батарейки? Бо вона в мене на 5кВт, а панелі всього на 3,2, більше не влізло на дах. Як на мене це і є правильне користування. АКБ покривають піки, які не перекривають саме в цей момент панелі. А панелі вже потім доливають. Проблема, що це мова про сонячний день і коли нема мети витягти все до нуля з акб. Інакше треба планувати, чи треба тягти з АКБ, або краще взяти з зовнішньої мережі. Посилання на коментар Поділитися на інших сайтах More sharing options...
Фрай Опубліковано: 4 жовтня 2023 Поділитись Опубліковано: 4 жовтня 2023 Чому проблема? я таке тільки в сонячні дні практикую, у мене взагалі на літо стоїть режим панелі/мережа 1 Посилання на коментар Поділитися на інших сайтах More sharing options...
Kubik Опубліковано: 15 жовтня 2023 Поділитись Опубліковано: 15 жовтня 2023 В 07.08.2023 в 19:52, Dmode сказал: Виходить що за 900 днів при 100% SOC мінус 11% ємності. 50% SOC мінус 5% ємності. 0% SOC мінус 2% ємності. Я свои аккумуляторы гоняю каждый день в диапазоне 20%-100%, а по исследованиям лучше выставить режим 0%-80%, так выходит? Посилання на коментар Поділитися на інших сайтах More sharing options...
yur43 Опубліковано: 15 жовтня 2023 Поділитись Опубліковано: 15 жовтня 2023 12 хвилин тому, Kubik сказав: Я свои аккумуляторы гоняю каждый день в диапазоне 20%-100%, а по исследованиям лучше выставить режим 0%-80%, так выходит? краще додати ємності і ганяти 20-60% 1 Посилання на коментар Поділитися на інших сайтах More sharing options...
Kubik Опубліковано: 15 жовтня 2023 Поділитись Опубліковано: 15 жовтня 2023 41 минуту назад, yur43 сказал: краще додати ємності і ганяти 20-60% Даже нет повода для спора), но исходя из того, что имею, какой режим предпочтительней? Посилання на коментар Поділитися на інших сайтах More sharing options...
beavis Опубліковано: 15 жовтня 2023 Поділитись Опубліковано: 15 жовтня 2023 Только что, Kubik сказал: Даже нет повода для спора), но исходя из того, что имею, какой режим предпочтительней? 20-80 2 Посилання на коментар Поділитися на інших сайтах More sharing options...
Рекомендовані повідомлення
Створіть акаунт або увійдіть у нього для коментування
Ви маєте бути користувачем, щоб залишити коментар
Створити акаунт
Зареєструйтеся для отримання акаунта. Це просто!
Зареєструвати акаунтУвійти
Вже зареєстровані? Увійдіть тут.
Увійти зараз